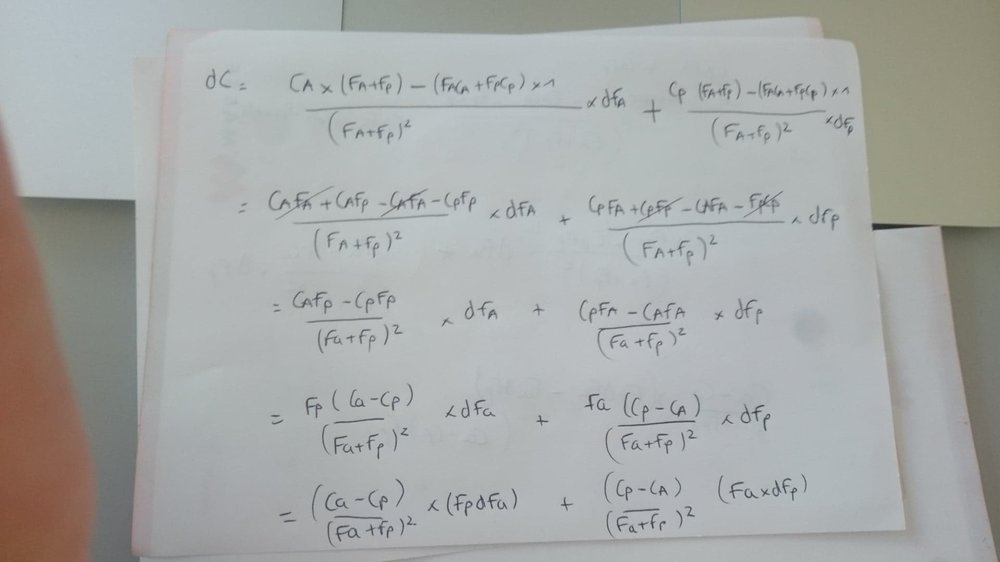
Parolier974 Posted October 24, 2018 Posted October 24, 2018 Bonjour, voilà mon soucis. La correction donne ACE. Pour la A je ne trouve pas du tout ça. Quelqu'un pourrait confirmer svp? Bonne journée les amis Voilà mon calcul Quote
Solution Featured Comment FF_M Posted October 24, 2018 Solution Featured Comment Posted October 24, 2018 Voilà ce que j'ai trouvé, après on retombe sur ses pattes en factorisant! Quote
Parolier974 Posted October 24, 2018 Author Posted October 24, 2018 Bonjour et merci à toi, j'ai vu mon erreur, dès la première ligne. Bonne journée Quote
Recommended Posts
Posted by FF_M,
0 reactions
Go to this post
Join the conversation
You can post now and register later. If you have an account, sign in now to post with your account.
Note: Your post will require moderator approval before it will be visible.