Parolier974 Posted October 22, 2018 Posted October 22, 2018 Bonjour dans le poly, il y a écrit que ce sont des émetteurs Béta +. Je comprends pour le Troisième, mais pas les 2 autres. Merci d'avance Quote
Ancien du Bureau DrMaboule Posted October 22, 2018 Ancien du Bureau Posted October 22, 2018 Salut @Parolier974 même état à Rangueil je peux te dire qu'il y a une couille dans le pâté… Les deux premiers sont des bétas - Quote
Parolier974 Posted October 22, 2018 Author Posted October 22, 2018 Bonjour, @DrMaboule. Je me disais aussi qu'il y avait un soucis. Merci à toi. Quote
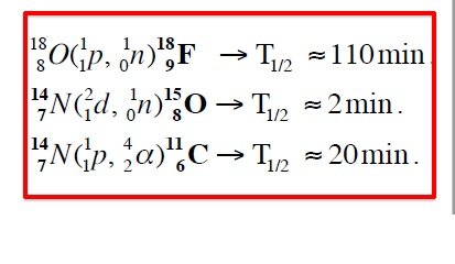
Epsilon Posted October 22, 2018 Posted October 22, 2018 le fluor 18 : ''Sa désintégration radioactive donne de l'oxygène 18. Elle se fait dans 97 % des cas par désintégration β+ avec une énergie de désintégration de 1 656 000 eV et dans 3 % des cas par capture électronique ; avec une période radioactive globale de 109,77 minutes (un peu moins d'1 h 50 min)'' ''L'oxygène 15 (15O) est l'isotope de l'oxygène dont le noyau est constitué de 8 protons et de 7 neutrons et une masse atomique de 15,0030654 uma. Sa demi-vie est de 122 secondes12. Il est fréquemment utilisé en tomographie par émission de positrons.'' Je vois pas le probleme moi Quote
Parolier974 Posted October 22, 2018 Author Posted October 22, 2018 (edited) Bonjour c'est juste j'aimerai comprendre car béta+ le Z diminue non ? Or ce n'est pas le cas. Et ça se lit bien de gauche à droite non ? Voilà l'objet de mon interrogation. Edited October 22, 2018 by Parolier974 Quote
Ancien du Bureau Solution sebban Posted October 22, 2018 Ancien du Bureau Solution Posted October 22, 2018 (edited) Les éléments β+ sur cette diapo sont ceux à droite. Ce qui est présenté ici, ce sont les réactions nucléaires pour parvenir à ces éléments émetteurs β+. Edited October 22, 2018 by sebban Quote
Parolier974 Posted October 22, 2018 Author Posted October 22, 2018 Bonjour @sebban. D'accord je comprends mieux merci à toi. Quote
Recommended Posts
Join the conversation
You can post now and register later. If you have an account, sign in now to post with your account.
Note: Your post will require moderator approval before it will be visible.