clemoglobine Posted October 7, 2018 Posted October 7, 2018 Bonjour, dans la formule de la densité d'énergie moyenne dW/dr que signifient epsilon1 et E1 ? Quote
Fugu Posted October 7, 2018 Posted October 7, 2018 salut @clemoglobine, est-il possible que tu postes une photo de la formule complète? Quote
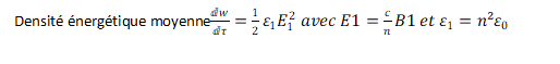
Solution Cyp Posted October 7, 2018 Solution Posted October 7, 2018 (edited) Bonjour C'est cette formule ? C'est pas vraiment à savoir, la prof n'interroge pas dessus je pense mais si tu veux savoir : e0 c'est la permitivité du vide(constante), représente le comportement électrique du milieu et e1 c'est en prenant en compte le milieu avec n indice du milieu. B1: champ magnétique et E1 champ électrique dans le milieu. Il faut retenir la formule du SAR et de l'intensité moyenne, leur unités et les valeurs limites surtout. Edited October 7, 2018 by Cyp Quote
clemoglobine Posted October 7, 2018 Author Posted October 7, 2018 Merci @Cyp, mais du coup comment on fait pour calculer l'intensité moyenne si on a pas dW/d ? Quote
Cyp Posted October 7, 2018 Posted October 7, 2018 (edited) @clemoglobineC'est donné dans les exercices, je crois pas que la prof te demandes de le calculer. Edited October 7, 2018 by Cyp Quote
Recommended Posts
Join the conversation
You can post now and register later. If you have an account, sign in now to post with your account.
Note: Your post will require moderator approval before it will be visible.