Jump to content

Recommended Posts

Posted

Bonjour, je comprend pas la correction du QCM suivant (joint en dessous) c'est l'item c et la réponse de la correction est 3/2.

 

Merci d'avance !! 

  •  

 

math .jpg

  • Ancien du Bureau
Posted

Alors oui en effet c'est du lourd, déjà pour simplifier la racine faut factoriser à l'intérieur et sortir x de la racine sous forme racine (x^2) comme ci dessous

Screenshot_20180916-182902~2.png

  • Ancien du Bureau
Posted

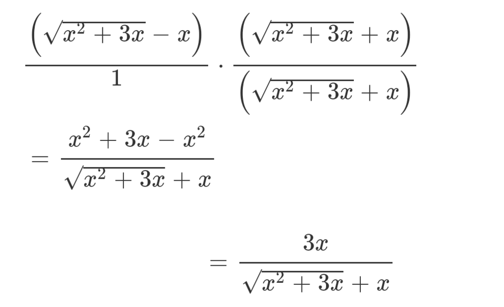
1) Mettre ça sous forme de quotient donc tu multiplies partout par ta fonction en mode f(x) = (f(x)/1)*(1/1)= (f(x)/1)*(f(x)/f(x)) ce qui revient au même on est d'accord

Screenshot_20180916-183348~2.png

  • Ancien du Bureau
Posted

2) dans le dénominateur tu remplaces par ce que j'ai trouvé dans la première réponse et tu refactorise par x derrière (dsl si c'est laborieux a comprendre)

Screenshot_20180916-182902~3.png

Et ducoup la dernière équation tu remplaces x par l'infini et tu as ton 3/2 mais ce truc est archi long pas du tout dans les temps pour un QCM ?

Join the conversation

You can post now and register later. If you have an account, sign in now to post with your account.
Note: Your post will require moderator approval before it will be visible.

Guest
Reply to this topic...

×   Pasted as rich text.   Paste as plain text instead

  Only 75 emoji are allowed.

×   Your link has been automatically embedded.   Display as a link instead

×   Your previous content has been restored.   Clear editor

×   You cannot paste images directly. Upload or insert images from URL.

  • Recently Browsing   0 members

    • No registered users viewing this page.
×
×
  • Create New...
Radio