Jump to content

Recommended Posts

  • Ancien Responsable Matière
Posted

Bonjour, bonsoir, 

 

J'ai besoin de votre aide pour cet iTem :
- Rangueil 2015 _ Colle 7 _ Item 8E :

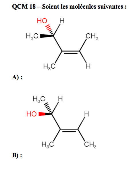
1485339489_Capturedcran2018-08-2512_23_01.png.b993122ef06d288eb5661cbef642f857.png8867382_Capturedcran2018-08-2512_23_09.png.e2f0471349b02664995a2256fd590e3d.png
 

J'ai donc étudié la stéréochimie de la molécule et j'ai trouvé :

  • A : 2R, 3Z
  • C : 2S, 3Z

Je ne suis pas arrivée à conclure, je me suis dit que ça avait peut être un rapport avec le diagramme SS, RR, SR, RS. 

 

La réponse étant :

Révélation

1931192617_Capturedcran2018-08-2512_27_09.thumb.png.1fc258efda07706942cf531ba536edb2.png

 

Merci de votre aide??

Posted

Salut ! 

Alors la E, pour moi c'est vrai car un couple énantiomère c'est 2 molécules qui sont images l'une de l'autre dans un miroir et non superposables, ce qui est le cas présent. A partir du moment où les molécules sont identiques sauf au C* alors elles sont énantiomères (ne pas extrapoler on est dans le cas où il n'y a qu'un seul C*). 

Voilà j’espère t'être utile ?  

Posted

Salut Scorpio!

Alors je sais pas si ce que je vais te dire te sera utile ou aussi stupide à tes yeux que te dire que 2+2=4 mais perso je voyais pas pourquoi ils étaient énantiomères . Car lorsqu'on fait une rotation du C portant le OH, les atomes se trouvent positionnés différemment : le CH3 et le H devraient être inversé. 

En fait, il s'agit de la même molécule regardé sous un angle différent. La molécule A est regardée selon l'endroit où est l'oeil vert alors que la molécule C est regardée selon l'oeil bleu

image.png.08f7db96ef3b5b4913274464159cd03c.png

 

Pour mieux comprendre je te les aies représentés avec des stabilos. Je ne les aies pas changé de position les uns par rapport aux autre, mais j'ai seulement tourné mon poignet (je t'invite à le faire pour mieux comprendre)

 

 

image.png

image.png

  • Ancien Responsable Matière
Posted

Merci @Splanchnopleure et @LanaBanana, j'avais presque oublié la définition d'un énantiomère ! 

J'essaie d'associer la diastéréoisomérie Z/E à cet ITEM mais ce n'était pas du tout la chose à faire...

 

Merci bien ! 

La bise des vacances (il en reste pas beaucoup, on profite)

Join the conversation

You can post now and register later. If you have an account, sign in now to post with your account.
Note: Your post will require moderator approval before it will be visible.

Guest
Reply to this topic...

×   Pasted as rich text.   Paste as plain text instead

  Only 75 emoji are allowed.

×   Your link has been automatically embedded.   Display as a link instead

×   Your previous content has been restored.   Clear editor

×   You cannot paste images directly. Upload or insert images from URL.

  • Recently Browsing   0 members

    • No registered users viewing this page.
×
×
  • Create New...