Jump to content

pH - QCM 11 tat


Go to solution Solved by Papa_Dragon,

Recommended Posts

Posted

Bonjour,

 

Je ne comprends pas la correction du QCM11 B du tat sur le pH

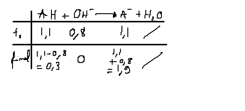
Pour moi la solution contient 3 mole pour 2 litre et non 0,3. Est une erratas ou une incompréhension ?

 

Merci d'avance

Posted

Salut !

Alors cette solution est un solution tampon, dont l'intérêt principal est de "tamponner" la base forte ajoutée (kOH) : en effet dans une solution sans système tampon, le kOH se dissociation totalement en k+ et OH-, il y aurait beaucoup d'ajout de OH- à la solution et le pH augmenterait énormément. C'est la qu'entre en jeu le système tampon : la même quantité de matière d'acide faible CH3CH2CH2COOH (soit 0.8mol) va se dissocier, pour prendre le surplus de OH- issu de la dissociation de kOH selon l'équation :

CH3CH2CH2COOH + KOH --> CH3CH2CH2COOK + H2O (l'eau étant neutre elle a aucune action sur le pH).

Au final l'ajout initial d'une base forte est remplacé par une augmentation en base faible (le pH augmentera donc beaucoup mois), et la quantité d'acide faible sera égale à

quantité(initiale) - quantité(KOH ajouté) = 1.1 - 0.8 = 0.3 mol, comme l'a très bien dit Papa_dragon.

 

Bonne après midi :)

Join the conversation

You can post now and register later. If you have an account, sign in now to post with your account.
Note: Your post will require moderator approval before it will be visible.

Guest
Reply to this topic...

×   Pasted as rich text.   Paste as plain text instead

  Only 75 emoji are allowed.

×   Your link has been automatically embedded.   Display as a link instead

×   Your previous content has been restored.   Clear editor

×   You cannot paste images directly. Upload or insert images from URL.

  • Recently Browsing   0 members

    • No registered users viewing this page.
×
×
  • Create New...
Radio