Jump to content

Annale 2022-2023


Go to solution Solved by Ornithorynque,

Recommended Posts

Posted

salut

je ne comprends pas du tout à quoi correspondent les composés B C, ni comment on sait que C possède une isomérie géométrique, quelqu’un pourrait m’expliquer svppp https://ibb.co/rG5KVG1t

  • Tuteur
  • Solution
Posted

Coucou 💫 

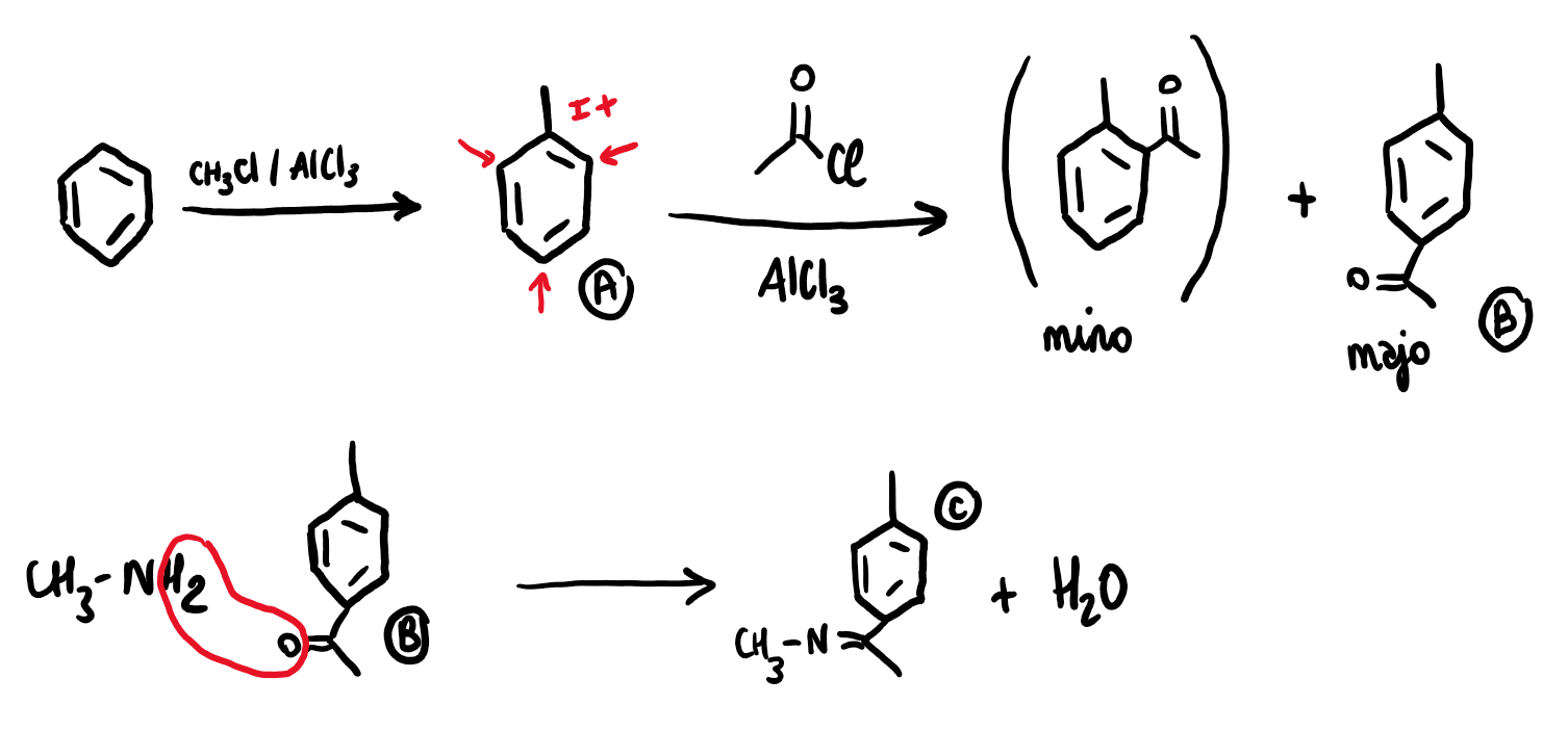
Alors pour commencer je t'ai écrit la réaction :

image.thumb.png.5d8260814a72ba5ce528bfcaacccf94d.png

 

Pour avoir le composé B, il faut que tu rajoutes le groupement sur ta molécule. Hors il ne va pas se placer n'importe où, cela dépend du groupement déjà présent sur le cycle. Comme le méthyl possède un effet donneur, il oriente en ortho ou para (comme je l'ai indiqué avec les flèches en rouge). Le composé majoritaire est celui en para car il y a moins d'encombrement stérique que l'autre forme en ortho 😉

Pour que ce soit plus facile à voir qu'est-ce que tu dois mettre sur le cycle, personnellement je me dis qu'il doit se former un HCl (donc que le Cl sur la molécule va partir et arracher un H du cycle). Donc ta molécule se retrouve avec une charge (+) tandis que ton cycle lui aura une charge (-) étant donné qu'il a perdu un H ! Puis hop tu colles les 2 parties pour annuler les charges 💪 

 

Ensuite pour avoir le composé C, il faut se dire que si en ajoutant une amine (NH2) tu obtiens de l'eau, alors tu dois faire la technique du lasso ! Tu vois sur le schéma c'est clair on comprend de suite ! 😊

 

Et enfin une isomérie géométrique c'est Z ou E ! Pour en avoir une, il faut une double liaison et aussi que les groupements du même côté de celle-ci soient différents. Il faut faire attention ici à ne pas oublier le doublet non liant de l'amine qui rentre en compte ! Donc effectivement la molécule C possède bien une isomérie géométrique puisqu'elle peut être Z ou E 😄

 

J'espère que tu as compris, courage pour cette dernière ligne droite 💪

Join the conversation

You can post now and register later. If you have an account, sign in now to post with your account.
Note: Your post will require moderator approval before it will be visible.

Guest
Reply to this topic...

×   Pasted as rich text.   Paste as plain text instead

  Only 75 emoji are allowed.

×   Your link has been automatically embedded.   Display as a link instead

×   Your previous content has been restored.   Clear editor

×   You cannot paste images directly. Upload or insert images from URL.

  • Recently Browsing   0 members

    • No registered users viewing this page.
×
×
  • Create New...