Jump to content

Recommended Posts

Posted

Bonjour, je ne sais pas trop si cette question doit être posée ici ou dans l’espace chimie organique désolée..

est-ce que qqn pourrait m’expliquer pq l’item e du qcm ci-dessous est vrai svp, je n’arrive pas à comprendre le raisonnement..

https://ibb.co/0R8f8ZFz
 

merci d’avance, bonne après-midi 

  • Tuteur
  • Solution
Posted

Bonjour, 

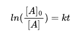
on est sur de l'ordre 1 donc la formule est pe1l.png(a=1)

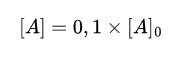
On sait qu'il ne reste plus que 10% de la concentration initiale en A ce qui se traduit mathématiquement en kof1.png. On veut le temps auquel il ne reste plus 10% de la concentration initiale donc on va remplacer [A] par 0,1×[A]0.

Cela donne i1am.png
Hésite pas si c'est pas clair

Join the conversation

You can post now and register later. If you have an account, sign in now to post with your account.
Note: Your post will require moderator approval before it will be visible.

Guest
Reply to this topic...

×   Pasted as rich text.   Paste as plain text instead

  Only 75 emoji are allowed.

×   Your link has been automatically embedded.   Display as a link instead

×   Your previous content has been restored.   Clear editor

×   You cannot paste images directly. Upload or insert images from URL.

  • Recently Browsing   0 members

    • No registered users viewing this page.
×
×
  • Create New...