Membre du Bureau Ahilesnerfsquejai Posted February 22 Membre du Bureau Posted February 22 Coucouuuuu mes petites abeilles printanières Voilà le post errata du Poly du printemps de cette année ! Ce poly est déjà disponible sur la Librairie et il sera distribué en format papier très prochainement (branchez-vous EB hum hum je dis ça je dis rien). Vous pourrez y retrouver des sujets types par UE ainsi que pleins de QCM supplémentaires concoctés par vos merveilleux tuteurs et RM, pour vous entraîner à fond ! Sujet type 2 Qcm 19 item C passe faux : Pour un ordre 1, t1/2 = ln(2)/ak = 0,7/(2x10^-5) =3,5 x 10^4 s (environ) Qcm 15 sujet type 1 : nombre d’infections pour atteindre l'état d’équilibre formule fausse donc l’item B passe faux Voici donc le post sous lequel vous pouvez faire remonter (comme son nom l'indique) les éventuels errata que vous trouverez en Pharmacocinétique et Galénique. Il y a un post par matière, vérifiez-bien que vous êtes sous le bon :). On espère tous que ce poly vous sera utile pour cette dernière ligne droite ! Courage et bonnes révisions à toutes et tous ! <3 Petit récapitulatif des erratas : Galénine 1 Quote
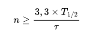
sarracomère Posted March 2 Posted March 2 Bonjour pour le sujet type 1 correction du QCM 15 c'est marqué n> T½/r je voulais savoir si on a enlevé 3.3 parce que on est dans le cas d'une administration orale au lieu de iv ou si c'est une errata? Merci! Quote
Tuteur Gojo Posted March 2 Tuteur Posted March 2 Bonjour, effectivement c'est une errata, la bonne formule est donc que ce soit pour une IV ou pour orale. Le suite de la correction de l'item reste juste. sarracomère and ju.gulaire 2 Quote
inositol Posted March 2 Posted March 2 Coucou, concernant le QCM 30 des QCM supplémentaires, je ne comprend pas pourquoi à l’item C on considère 7 demi vies pour considérer la quantité de médicament négligeable, je pensais que c’était 3,3 demi vies ? (et concernant l’item B, je pense qu’il y a une petite erreur dans la correction car k=5 et dans la correction c’est noté k=4 ) merci beaucoup !! Quote
Tuteur Gojo Posted March 2 Tuteur Posted March 2 Bonsoir, alors oui il me semble que nous en PASS le prof nous disait de retenir seulement 3,3 demi-vies pour une quantité de médicament négligeable (10% C0). 7 n'est pas faux, ça correspond à 1% de C0, mais vous n'avez pas besoin de le savoir(à moins qu'il ait changé cette année). Donc la correction n'est pas adaptée pour vous. Pour l'item t'as raison il y a une coquille dans la correction, k=5, l'item reste tout de même faux. Tristandinite and ju.gulaire 2 Quote
Lilactate Posted March 3 Posted March 3 Bonjour, je ne comprends pas pourquoi dans le QCM 35 des QCM supplémentaires l’item D est vrai parce que ke=0,7/T1/2 mais ici les T1/2 sont identiques pour les 2 patients, alors leurs ke devraient eux aussi être identiques ? Ou ke ne dépend pas que de T1/2 ? Merci ! Quote
Responsable Matière ju.gulaire Posted March 3 Responsable Matière Posted March 3 Coucouuuu ta réflexion est juste mais il faut ici partir de la relation k = CL/Vd or ici ces valeurs sont différentes entre les 2 patients donc ke ne sera pas la même chez le patient P ou C J’espère que ça t’aidera bon courage ! Lilactate and Tristandinite 2 Quote
kloEpitope Posted March 3 Posted March 3 Bonjour, Pour le 19C du sujet type 2 la formule a utiliser c'est pas ln(2)/ak comme a=2 ca change le résultat? Merci Quote
Tuteur lucil_e_tubaire Posted March 3 Tuteur Posted March 3 (edited) Coucou @kloEpitope, tu as tout à fait raison !! La correction du 19C passe fausse (donc AD vraies), à remplacer par C. Pour un ordre 1, t1/2 = ln(2)/ak = 0,7/(2x10^-5) =3,5 x 10^4 s (environ) Bonnes révisions !! Edited March 3 by lucil_e_tubaire AO234, Galénine, Tristandinite and 1 other 3 1 Quote
Maribosome_ Posted March 7 Posted March 7 Bonjour, pour la galénique item 8A des qcm supp je m’étais marqué que les glycérinées étaient non définis mais que le glycérol était défini. Ça apparaît pas sur le diapo de la prof. Quote
Hématome31 Posted March 8 Posted March 8 Salut ! Je ne comprends pas pourquoi litem D du qcm 39 des qcm supplémentaires est vrai car je pensais que la rifampicine n’avait d’action que sur le CYP3A4 et que les AVK sont concernés par le CYP2C9 donc pour moi la rifampicine ne devrait pas perdre en efficacité en présence de rifampicine. Si on pouvait m’éclairer svp :) bonne journée ! Quote
yas_minee Posted March 8 Posted March 8 Bonjour je ne comprend pas pourquoi le l’item B du 9 des supplémentaires est faux avec pour correction que la lanoline est dans les pommades hydrophobe je pensait que c’était dans les pommades absorbant l’eau ( donc plus du côté hydrophile? ) merci Quote
Responsable Matière ju.gulaire Posted March 8 Responsable Matière Posted March 8 4 hours ago, Hématose said: Salut ! Je ne comprends pas pourquoi litem D du qcm 39 des qcm supplémentaires est vrai car je pensais que la rifampicine n’avait d’action que sur le CYP3A4 et que les AVK sont concernés par le CYP2C9 donc pour moi la rifampicine ne devrait pas perdre en efficacité en présence de rifampicine. Si on pouvait m’éclairer svp :) bonne journée ! Coucouuuu alors attention la rifampicine est un inducteur enzymatique mais il pas uniquement du CYP3A4! Elle augmente l’action de nombreuses enzymes dont le CYP2C9, en gros dites vous que tous les CYPRÈS vus en pk sont boostés par la rifampicine ! Bon courage ! On 3/7/2026 at 1:02 PM, Maribosome_ said: Bonjour, pour la galénique item 8A des qcm supp je m’étais marqué que les glycérinées étaient non définis mais que le glycérol était défini. Ça apparaît pas sur le diapo de la prof. Coucouuuu je te met l’image qui résume défini et indéfini à partir de la diapo de la prof Bon courage ! 2 hours ago, yas_minee said: Bonjour je ne comprend pas pourquoi le l’item B du 9 des supplémentaires est faux avec pour correction que la lanoline est dans les pommades hydrophobe je pensait que c’était dans les pommades absorbant l’eau ( donc plus du côté hydrophile? ) merci Coucouuuu je sais que c’est pas logique mais attention ultra important à retenir les excipients des pommades absorbant l’eau sont hydrophobes (ex : lanoline) Bon courage ! Hématome31 1 Quote
inositol Posted March 18 Posted March 18 coucou, j’ai 2 petites questions concernant les qcm 19 et 20 du sujet 3 : pour le qcm 19, l’item A : La vitesse d’une réaction est dépendante des concentrations en chacun des réactifs. est compté vrai mais le qcm parle de la cinétique en général et ne précise pas d’ordre, or je crois que pour ordre 0 la vitessse est justement indépendante non? pour le qcm 20, la réaction est considérée d’ordre 1 mais je ne vois pas comment on le détermine avec les infos de l’énoncé : QCM 20 - À propos de la cinétique chimique : On étudie la réaction : A + B → C. On réalise une expérience avec : [A]₀ = 1,0 mol/L (et reste quasi constante pendant la réaction) [B]₀ = 0,01 mol/L Indiquer si les propositions suivantes sont vraies ou fausses mercii !! Quote
Tuteur emeline01 Posted March 18 Tuteur Posted March 18 Salut, Pour le QCM 19, tu as raison, pour une réaction d’ordre 0 la vitesse est indépendante des concentrations. Mais la majorité des réactions ne sont pas d'ordre 0 et en cinétique en règle générale on écrit v=k*[A]^α*[B]^β, donc la vitesse dépend des concentrations. Pour le QCM 20, dans l’énoncé, [A]₀ = 1,0 mol/L est très grande devant [B]₀ = 0,01 mol/L et reste quasiment constante pendant la réaction. On peut donc considérer [A] comme constante et poser k' = k[A]. La loi de vitesse devient alors v = k'[B], ce qui signifie que la vitesse dépend uniquement de la concentration en B. La réaction se comporte donc comme une réaction d’ordre 1. J'espère que c'est plus clair ! Quote
inositol Posted March 18 Posted March 18 merci beaucoup ! mais juste pour le qcm 20 qu’est ce qui nous dit que la loi de vitesse devient v = k'[B]? on aurait pas pu écrire v = k'[B]2 par exemple ? Quote
Tuteur emeline01 Posted March 18 Tuteur Posted March 18 (edited) Dans le qcm comme on te donne simplement A + B → C sans autre info expérimentale, on suppose une loi classique : v = k[A][B] Ensuite comme [A] est constante, on remplace k[A] (qui est une constante) par k′, ce qui donne v = k′[B] On ne peut pas écrire v = k′[B]² car rien dans l’énoncé ne dit que l’ordre en B est 2 et l’ordre ne se devine pas sans données expérimentales. Bon courage ! Edited March 18 by emeline01 lucil_e_tubaire 1 Quote
phosphatidylcoco Posted March 19 Posted March 19 Le 03/03/2026 à 11:32, ju.gulaire a dit : Coucouuuu ta réflexion est juste mais il faut ici partir de la relation k = CL/Vd or ici ces valeurs sont différentes entre les 2 patients donc ke ne sera pas la même chez le patient P ou C J’espère que ça t’aidera bon courage ! Pourtant ce qcm se trouve dans le test que le prof nous a mis à disposition pour s’entraîner sur Moodle et il considère que les bonnes réponses sont ABE car selon lui k ne change pas étant donné que t1/2 ne change pas et pour la E, Vd est bien supérieur chez le patient C étant donné que CL = k x Vd et donc que CL est proportionnel à Vd. capu01 1 Quote
Tuteur lucil_e_tubaire Posted March 19 Tuteur Posted March 19 Coucou perso je suis d’accord avec toi, si t1/2 est la même alors k sera le meme (t1/2 = ln2/k pour les réactions d’ordre 1, ce qui est le cas pour la plupart des médicaments !!) Par contre tu ne peux pas dire que CL est proportionnel à Vd : ce sont des mécanismes indépendants. Si l’un change, l’autre ne va pas changer (meme si ils sont liés par la formule, physiologiquement ce n’est pas le cas). Si ton k ou ta t1/2 reste pareil pour 2 patients qui n’ont pas la meme CL ou le meme Vd, cela signifie que le Vd ou la CL (le 2e paramètre) change dans le meme sens pour garder le même k ou la meme t1/2 !! (T1/2 = (Vd*ln2)/CL) Exemple : si Vd x 2, si la CL ne change pas tu auras t1/2 x 2 aussi. Pour qu’on ait la meme t1/2 il faut que CL x2 aussi ! Mais si le Vd change ça ne veut pas dire que la CL change, c’est juste dans le cadre de l’énoncé… Les 2 sont indépendants j’espère que c’est plus clair !! Sinon comme tjrs n’hésite pas ju.gulaire and phosphatidylcoco 1 1 Quote
Recommended Posts
Join the conversation
You can post now and register later. If you have an account, sign in now to post with your account.
Note: Your post will require moderator approval before it will be visible.