Jump to content

Recommended Posts

Posted

Coucou!

je ne comprends pas pourquoi cet item est compté juste dans notre TD puisque CH3 est +I donc les électrons devraient s’éloigner de ce CH3 or ici, il se rapproche.

uhp4em.jpg

Merci d’avance!

  • Tuteur
Posted (edited)

Coucou , pour les formes mésomères il faut regarder uniquement les charges et les doublets non liant, les effets inductifs agissent mais dans une mesure bien plus faible.

 

Bon courage et bonnes révisions !

 

Edited by PASStongouter
Posted

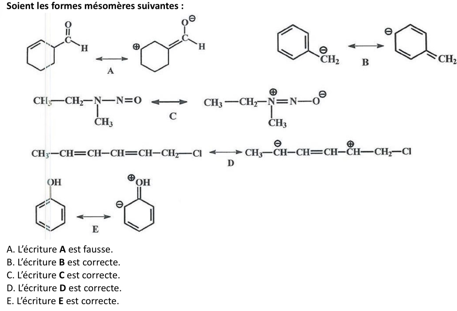
question n°2)

Dans le même Td, je ne comprends pas comment peut on savoir que l’item E est juste? Car ils sont tout les deux assez stable avec l’effet inductif, est ce que c’est parce que le COH (8) est aussi -M et pas Cl?f1swrd.jpg

 

Merci pour ta réponse!

mais du coup pour revenir sur ma première question, je ne comprends pas parce que CH3 (alkyle) n’a pas d’effet mésomère?496ruu.jpg

  • Tuteur
  • Solution
Posted (edited)

Hello @loupitâl ! ✨

 

Ici, deux manières de voir les choses, tu prends celle qui te parle le plus :

 

1ere maniere :

Tu sais que la mésomérie c'est toujours double-simple-double ou double-simple-charge, double-simple-doublet non liant, etc. Or ici pour maximiser la mésomérie tu peux délocaliser deux fois : la première double-simple-double, puis la seconde double-simple-charge. Sauf qu'une charge + représente un déficit en électrons donc ça ne peut pas "partir" de la charge +. Donc c'est forcément dans l'autre sens.

 

2e manière :

On peut essayer de pousser les électrons dans l'autre sens :image.thumb.png.ce43c4882eb1e3fb3de839f0da6ce521.png

Mais de pousser les électrons sur le carbone tout à gauche crée une charge - : on a un déséquilibre des charges car on passe d'une molécule globalement positive à une molécule globalement neutre et c'est absolument IMPOSSIBLE en mésomérie.

Et puis pour compléter avec la 1ere vision, on a pas utilisé la charge + ici qui fait pourtant partie de la mésomérie puisqu'on a bien double-simple-charge.

 

Pour le QCM3, pas de débat : la molécule 8 fait en effet de la mésomérie (double-simple-charge) alors que pas la 5. Et LA MESOMERIE L'EMPORTE TOUJOURS SUR L'INDUCTIVITÉ. Donc une molécule qui fait de la mésomérie sera TOUJOURS forcément plus stable.

 

J'espère que tu comprends mieux, sinon n'hésite pas si tu as d'autres questions et bon courage ! 😉

 

Edited by elec
Posted

Ah oui d’accord je comprends mieux, du coup on ne fait pas attention à CH3 ( à son effet +I)

  • Tuteur
Posted
à l’instant, loupitâl a dit :

du coup on ne fait pas attention à CH3 ( à son effet +I)

Non !!! Comme la mésomérie l'emporte toujours, si tu en as tu ne te préoccupes pas des effets inductifs !

Posted

Merci beaucoup!

Encore une petite question😅

Dans la formation tatoucapté n°2, on a une forme mésomère mais on fait aussi attention à l’effet inductif, par exemple ici pour l’item D:767c4d.jpgi6u9ar.jpg

 

Posted

À quel moment s’interesse-t-on à la l’effet inducteur en même temps que la forme mésomère alors?

Join the conversation

You can post now and register later. If you have an account, sign in now to post with your account.
Note: Your post will require moderator approval before it will be visible.

Guest
Reply to this topic...

×   Pasted as rich text.   Paste as plain text instead

  Only 75 emoji are allowed.

×   Your link has been automatically embedded.   Display as a link instead

×   Your previous content has been restored.   Clear editor

×   You cannot paste images directly. Upload or insert images from URL.

  • Recently Browsing   0 members

    • No registered users viewing this page.
×
×
  • Create New...