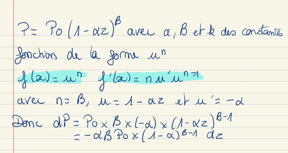
sanspseudo Posted Wednesday at 08:34 AM Posted Wednesday at 08:34 AM Salut je comprends pas d'où sort le "alpha fois bêta" dans l'item C ? https://ibb.co/wFqD8bXs Quote
Tuteur Opéra Posted Wednesday at 09:50 AM Tuteur Posted Wednesday at 09:50 AM Salut, je t'ai détaillée la correction ici. Est-ce que c'est plus clair ? An-Schwann 1 Quote
Recommended Posts
Join the conversation
You can post now and register later. If you have an account, sign in now to post with your account.
Note: Your post will require moderator approval before it will be visible.