Jump to content

Poly Printemps Sujet 2


Go to solution Solved by Ornithorynque,

Recommended Posts

Posted

Bonjour je me demandais pour l'item (il est noté vrai) si la forme 4-éthyl-3-méthyl-2-phényl-hept-2-ène. était pas majoritaire parce que même si la forme du l'item est est celle sur le carbone le plus substitué, l'insaturation sur le C 2 serrai conjugué avec le phényl donc ca la stabiliserai? Merci

image.png.3d5cbcfd24f7bd92f5016e25201139b3.png

  • Tuteur
  • Solution
Posted

Coucou 💫 Alors je viens de faire l'exercice et j'ai ça :

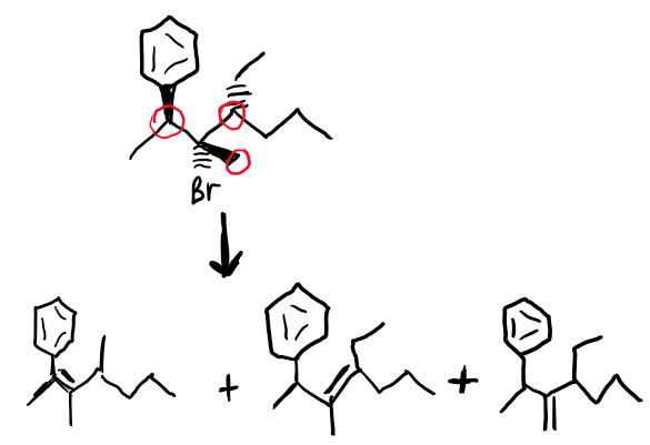
image.png.32c2d1a106be93c8ca98daf01685d34f.png

 

J'ai entouré en rouge les H pouvant partir donc déjà on se retrouve bien avec 3 molécules finales possibles. Comme c'est le H+ qui va partir en premier cela va former un carbocation. Le composé majoritaire sera celui avec le carbocation le + stable. Etant donné que le phényl a un effet mésomère donneur, normalement c'est bien la molécule de gauche qui est majoritaire... Après je me demande si c'est simple ou non de donner des électrons à partir d'un cycle qui est stable ? Il faut voir l'avis de @Rayanodipine @L'Electron_Augé 🤔

Join the conversation

You can post now and register later. If you have an account, sign in now to post with your account.
Note: Your post will require moderator approval before it will be visible.

Guest
Reply to this topic...

×   Pasted as rich text.   Paste as plain text instead

  Only 75 emoji are allowed.

×   Your link has been automatically embedded.   Display as a link instead

×   Your previous content has been restored.   Clear editor

×   You cannot paste images directly. Upload or insert images from URL.

  • Recently Browsing   0 members

    • No registered users viewing this page.
×
×
  • Create New...