inositol Posted February 10 Posted February 10 Bonjour, je ne comprend pas comment résoudre ce QCM : Soit le butan-2-ol de configuration R. Indiquez si les propositions suivantes sont vraies ou fausses : B. Soumis à une réaction de déshydratation en milieu acide à chaud en solvant polaire aprotique, il donne 5 composés structurellement ou stéréochimiquement différents. cet item est compté vrai et la correction dit : (VRAI) Par une réaction de déshydratation INTRAmoléculaire, il donne 3 produits et donne 2 produits par réaction INTERmoléculaire. mais je n’arrive pas a déterminer les différents stéréoisomères, et dans la déshydratation intramoléculaire j’en trouve que 2, est ce que quelqu’un pourrait m’expliquer comment résoudre ce type d’items ? merci beaucoup ! Quote
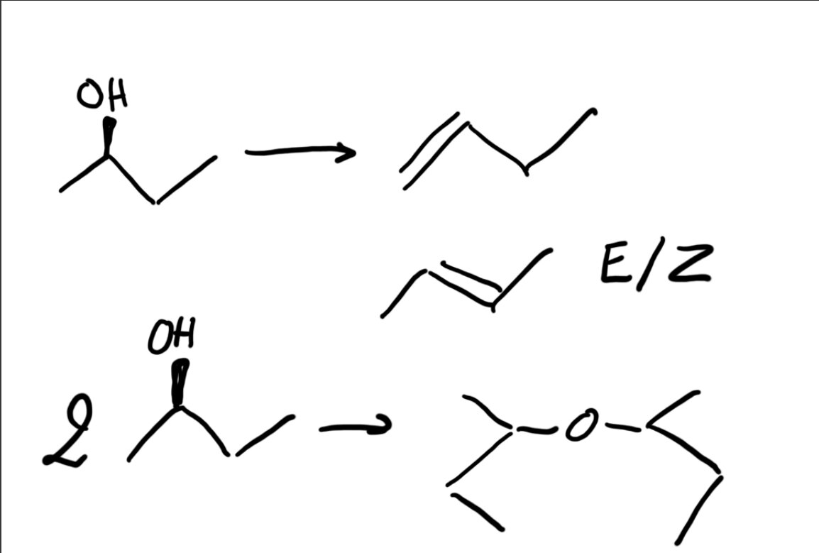
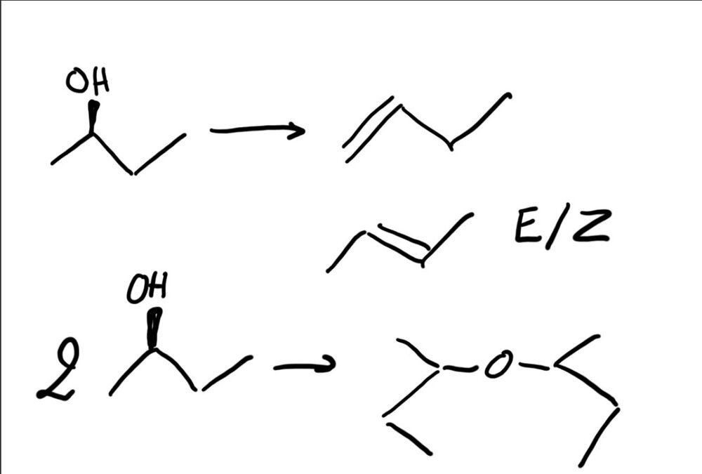
Tuteur Solution Opéra Posted February 10 Tuteur Solution Posted February 10 Salut, pas de soucis je t'explique. Déjà, on a affaire ici à une réaction de déshydratation (élimination) en milieu acide. Pour rappel (mais je ne suis pas sure que vous l'ayez déjà vu), tu peux avoir des déshydratations intra ou intermoléculaire. Dans le premier cas tu obtiendras 3 alcènes, et dans le deuxième 2 éthers-oxydes, je t'ai mis un dessin avec les explications. Pour rappel, on compte les stéreoisomères Z et E comme 2 molécules différentes. Est-ce que c'est plus clair ? Rayanodipine 1 Quote
inositol Posted February 10 Author Posted February 10 coucou @Opéra, merci pour ta réponse mais j’ai encore 2 questions, comme c’est un solvant polaire aprotique je pensais que c’était une E2 et donc qu’on ne peut pas obtenir les 2 stéréoisomères majoritaire mais seulement le E ? et par rapport à la déshydratation intermoléculaire (on l’a vu hier d’ailleurs !), je ne comprend pas comment on obtient 2 éther oxyde (et s’ils sont différents) ? mercii ! Quote
Tuteur fannYttrium Posted February 10 Tuteur Posted February 10 Coucou, J'avoue que ce QCM est assez étrange... normalement les qcms sur la déshydratation ils précisent dans quel cas on se trouve : - T>170°C donc intramoléculaire => réaction d'élimination qui conduit à des alcènes petit rappel : si on a une alcool tertiaire on aura une E1 et si on a un alcool primaire une E2. - 100<T<120°C donc intermoléculaire => réaction de substitution nucléophile qui conduit à des éther oxydes. petit rappel : si on a une alcool primaire on aura une SN1 et si on a un alcool secondaire une SN2 ou SN1 et si on a un alcool tertiaire on aura juste un alcène. Aussi dans le cas inter on a besoin d'avoir le réactif en excès, ce qui n'est pas précisé dans cet énoncé... donc pour ta première question je suis d'accord avec toi je trouve ça un peu bizarre. pour ta deuxième question j'aurais dis que on a un éther-oxyde Z et un E, mais bon c'est toujours pas cohérent... Est-ce que tu te rappelle où tu as trouvé ce qcm par hasard ? Peut-être que @Opéra saura mieux te répondre en attendant bon courage pour tes révisions :) Rayanodipine 1 Quote
Tuteur Opéra Posted February 10 Tuteur Posted February 10 C'est effectivement étrange, où as-tu trouvé ce qcm ? Quote
inositol Posted February 10 Author Posted February 10 merci @fannYttrium et @Opéra ! je l’ai trouvé sur la plateforme du TAT, c’est un QCM supplémentaire du poly du printemps de 2022-2023 ! Quote
Tuteur fannYttrium Posted February 10 Tuteur Posted February 10 (edited) Coucou j'ai un peu fouillé sur le forum et j'ai trouvé ce post qui traite de ce qcm : et qui explique notamment pour la réaction intermoléculaire Et apparemment le qcm n'est pas une errata Bonne soirée :) Edited February 10 by fannYttrium Rayanodipine and inositol 1 1 Quote
Recommended Posts
Join the conversation
You can post now and register later. If you have an account, sign in now to post with your account.
Note: Your post will require moderator approval before it will be visible.