Jump to content

Recommended Posts

Posted

Salut!

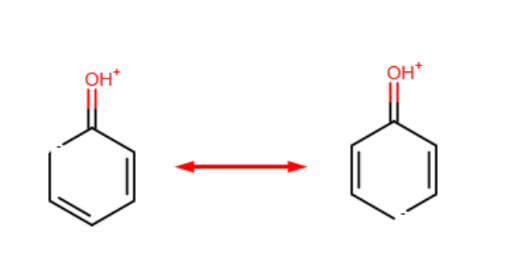
Est-ce que qlq pourrait m'expliquer pourquoi cette forme mésomère de la molécule suivante est vraie? image.png.8061cd443571078d4751287734436981.png

  • Tuteur
  • Solution
Posted

Salut @ayaettz_ !

 

Alors dans cette molécule il est question des effets mésomères .Tu peux voir apparaitre une conjugaison - sigma pi.  

Ainsi tu peux délocaliser les électrons dans ton cycle comme je te l’indique par les flèches . 

J’espère que c’est plus clair pour toi !

1770149567-img-0725.jpeg

Join the conversation

You can post now and register later. If you have an account, sign in now to post with your account.
Note: Your post will require moderator approval before it will be visible.

Guest
Reply to this topic...

×   Pasted as rich text.   Paste as plain text instead

  Only 75 emoji are allowed.

×   Your link has been automatically embedded.   Display as a link instead

×   Your previous content has been restored.   Clear editor

×   You cannot paste images directly. Upload or insert images from URL.

  • Recently Browsing   0 members

    • No registered users viewing this page.
×
×
  • Create New...