Jump to content

Stabilité intermédiaires réactionnels


Go to solution Solved by L'Electron_Augé,

Recommended Posts

Posted

Bonsoir, excusez-moi de vous déranger je voulais savoir pourquoi l’item E est juste ?

https://ibb.co/wNHhy3yJ

 

Réponses justes : A,E

 

Merci d’avance ! Bonne soirée à vous !

  • Responsable Matière
  • Solution
Posted

Salut @GlYcine,

Alors on compare les composés 5 et 8 qui sont tous deux des carbanions.
-> on sait qu'ils sont stabilisés par effet attracteur -I et -M et que M>I.
Dans le composé 8, le carbanion est conjugué à un carbonyle qui est un groupement -I, -M donc stabilisateur par effet attracteur.
Quant au composé 5, le carbanion n'est stabilisé que par l'effet -I du chlore, la charge négative (doublet non liant) ne peut pas se délocaliser ailleurs dans la molécule.
=> Donc le composé 8 stabilisé par mésomérie est plus stable que le composé 5 seulement stabilisé par effet inductif.

N'hésite pas si ce n'est toujours pas clair, la team chimie orga est là pour prendre le temps de répondre à tes questions 🌟
Bonne soirée !!

Posted

Bonjour,
Dans ce même qcm pouvez vous m'expliquer pourquoi la A est juste et la B est fausse.
J'avoue avoir du mal à comprendre comment marche le benzene....
Merci d'avance pour vos réponses

  • Tuteur
Posted (edited)

Hello @yopsss ! ☀️

 

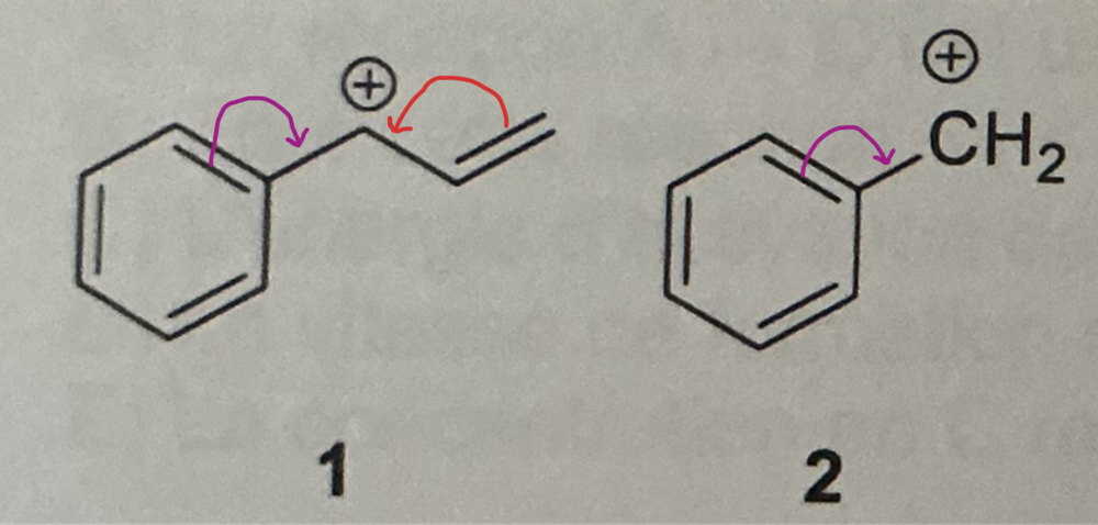
Pour l'item A :

Comme l'explique @L'Electron_Augé juste au dessus, la mésomérie est ce qui va le mieux stabiliser un composé. Ici, les composés 1 et 2 font tous les deux de la mésomérie. Or, tu peux observer que dans ton composé 1 il y a "plus de mésomérie" quand dans le 2.

Je m'explique : 

- une charge positive est stabilisée par des effets donneurs. En effet, une charge positive représente un déficit en électron (peu stable) et donc un donneur d'électron permet de combler ce déficit, et ainsi de rendre le composé plus stable.

- dans le composé 1 il y a "2 donneurs" : une double liaison provenant du benzène (en violet) et la double liaison à droite (en rouge).

- dans le composé 2 parcontre, il n'y a "qu'un seul donneur" : la double liaison du benzène (en violet).

C'est pour ces raisons que le composé 1 est plus stable que le 2 : son déficit en électron est comblé "plus facilement".

image.thumb.png.f8a66204023edaeb9454cae8a84832d9.png

Pour l'item B :

Toujours la même réflexion, on sait que la mésomérie stabilise mieux un composé. Ici pas de débat, le composé 3 n'a pas de forme mésomère alors que le composé 4 oui... Donc forcément le composé 4 sera plus stable.

 

J'espère que tu comprends mieux, sinon n'hésite pas si tu as d'autres questions et bon courage ! 💪

Edited by elec

Join the conversation

You can post now and register later. If you have an account, sign in now to post with your account.
Note: Your post will require moderator approval before it will be visible.

Guest
Reply to this topic...

×   Pasted as rich text.   Paste as plain text instead

  Only 75 emoji are allowed.

×   Your link has been automatically embedded.   Display as a link instead

×   Your previous content has been restored.   Clear editor

×   You cannot paste images directly. Upload or insert images from URL.

  • Recently Browsing   0 members

    • No registered users viewing this page.
×
×
  • Create New...