Jump to content

Recommended Posts

Posted

Coucou!

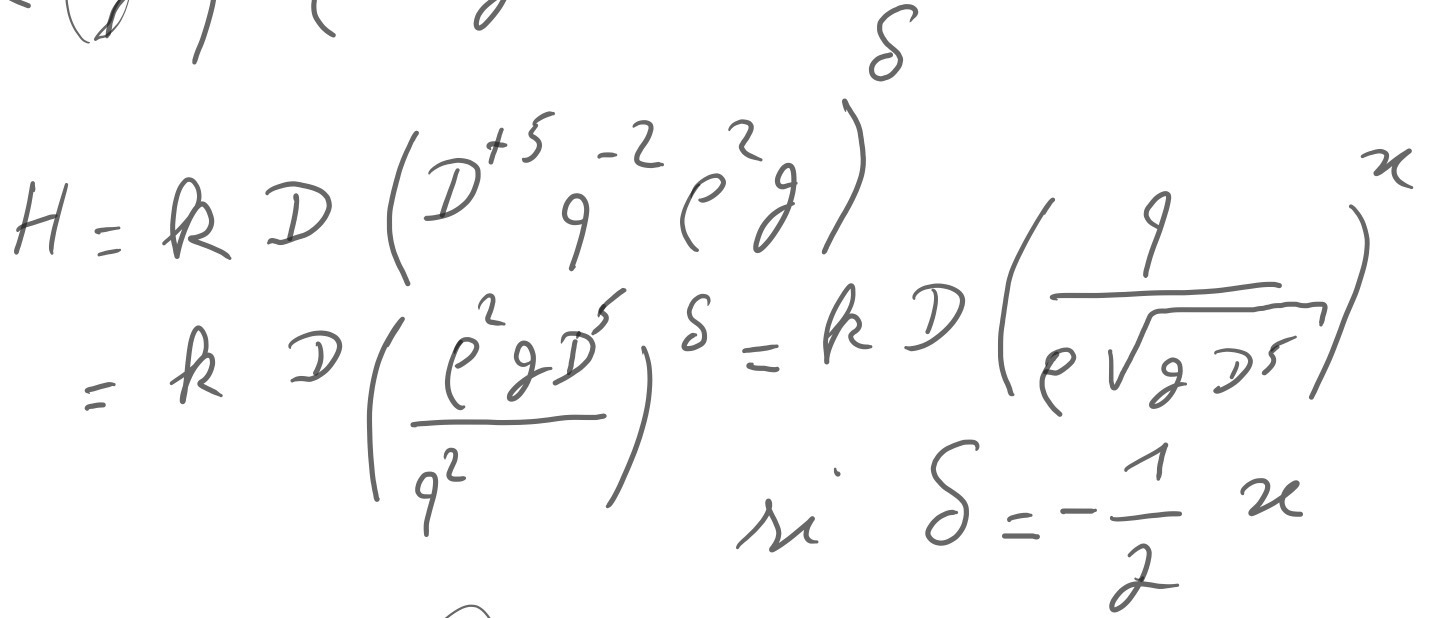
j’ai une petite question c’est que je ne comprends pas comment on passe d’une équation à l’autre ici:tkowfc.jpgquel est le calcul intermédiaire que l’on doit faire ( ou le calcul de tête)?

Join the conversation

You can post now and register later. If you have an account, sign in now to post with your account.
Note: Your post will require moderator approval before it will be visible.

Guest
Reply to this topic...

×   Pasted as rich text.   Paste as plain text instead

  Only 75 emoji are allowed.

×   Your link has been automatically embedded.   Display as a link instead

×   Your previous content has been restored.   Clear editor

×   You cannot paste images directly. Upload or insert images from URL.

  • Recently Browsing   0 members

    • No registered users viewing this page.
×
×
  • Create New...
Radio