Jump to content

Recommended Posts

Posted

Coucou!

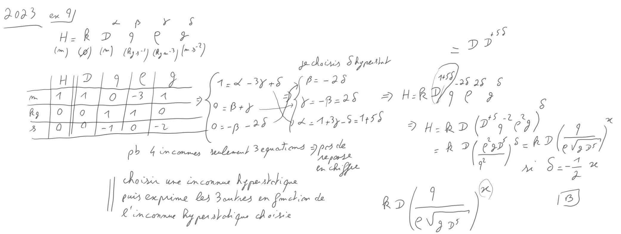
Je ne sais pas si c’est ici qu’on pose les questions pour la mineure mais j’ai une petite question sur l’analyse dimensionnelle. Pour alpha je trouve 5delta pourtant dans la correction alpha= 1+5delta je ne comprends pas bien…rcqo51.jpg

vfarke.jpgMerci d’avance pour votre réponse !

Posted

Coucou 

 

Tu as bien écrit 1 = 1 alpha - 6 delta + 1 delta 

ce qui revient à écrire 1 = 1 alpha - 5 delta

mais n'oublie pas que c'est une égalité ! tu as 1 = alpha - 5 delta donc alpha = 1 + 5 delta quand tu mets de l'autre côté (tu isoles le alpha) 

 

 

Join the conversation

You can post now and register later. If you have an account, sign in now to post with your account.
Note: Your post will require moderator approval before it will be visible.

Guest
Reply to this topic...

×   Pasted as rich text.   Paste as plain text instead

  Only 75 emoji are allowed.

×   Your link has been automatically embedded.   Display as a link instead

×   Your previous content has been restored.   Clear editor

×   You cannot paste images directly. Upload or insert images from URL.

  • Recently Browsing   0 members

    • No registered users viewing this page.
×
×
  • Create New...
Radio