Jump to content

Recommended Posts

Posted

salut ici je je voit pas qu'elle est S le 4eme substiutant est en haut dans le plan et pas en arriere mais comment le visualiser en arriere quand ces en haut et pas sur le coter pour la rotation

Screenshot_20251214_165209_Samsung Notes.jpg

  • Responsable Matière
Posted

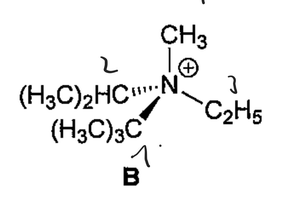
Salut @khatabi

Dans le cas où le grp n°4 est dans le plan (ni en avant ni en arrière) il faut que tu places ton regard dans l'axe C-grp n°4 pour que le grp n°4 soit en arrière.
Dans ce cas ci on regarde la molécule d'en bas. Puis le grp n°1 étant dans le plan, en regardant en bas il se retrouve au dessus/ en haut. Puis on passe au grp n°2 qui est à gauche et le grp n°3 à droite. Ce qui fait une rotation anti horaire donc S.
image.png.d11e14e204de87f52ce17fc0d1c581c8.png

J'espère que c'est un peu mieux. Si d'autres tuteurs passent par là ils auront peut être d'autres techniques.
Bon courage !!

Join the conversation

You can post now and register later. If you have an account, sign in now to post with your account.
Note: Your post will require moderator approval before it will be visible.

Guest
Reply to this topic...

×   Pasted as rich text.   Paste as plain text instead

  Only 75 emoji are allowed.

×   Your link has been automatically embedded.   Display as a link instead

×   Your previous content has been restored.   Clear editor

×   You cannot paste images directly. Upload or insert images from URL.

  • Recently Browsing   0 members

    • No registered users viewing this page.
×
×
  • Create New...