Jump to content

Question annales oxydorédoc...


Go to solution Solved by Ankyyrine,

Recommended Posts

Posted

Salut, 

 

Décidément la chimie et moi pas très fan l'une de l'autre ...

Donc j'ai plusieurs questions concernant 2 annales :

https://ibb.co/4RXGVBrs
https://ibb.co/9kbRvNJq
https://ibb.co/4w9Fxk3r
https://ibb.co/GvDvYYgD

 

Pour le QCM 8:

Pour l'item A,B,C je ne sais pas du tout comment savoir si c'est une équation d'oxydorédoc en trouvant qui change de nb d'oxydation.

Pour l'item D je ne comprends pas la correction où on dit que le nombre d'oxydation du chlore augmente (ni diminue) pour moi il reste stable (ou ça a un rapport avec la charge du coup ?)

 

Pour le QCM 7:

Je ne comprend pas comment on calcule pour l'item B (je vois bien qu'il y a une soustraction ou addition mais lequel on soustrait ou on additionne à l'autre et pourquoi ?)

Et pour moi l'item C est juste même en regardant la correction (ou on additionne pas les différents électrons des 2 différentes demi équations ?)

Et pour l'item E aucune idée de comment faire pour trouver ça 

 

Je sais ça fait bcp de questions mais si on peut m'aider ça serait super !

Merci d'avance!

 

  • Ancien Responsable Matière
  • Solution
Posted

Salut !

 

QCM 8 : Pour les QCM comme ça, il faut regarder principalement comment évolue le NO du carbone, s'il n'y en a pas on regarde les sels (Na, Cl, etc)

A. On regarde le carbone : ça change pas donc pas une réaction d'oxydoréduction

B. Pas de carbone... on regarde le Cl : à gauche NO Cl = +1 dans ClO- et -1 dans Cl-. À droite on a un dichlore donc NO (Cl) = 0. NO change donc réaction d'oxydoréduction.

C. La correction détaille bien pourquoi l'item est faux. (+II et pas -II).

D. Dans le cours, autant il y a des espèces dont le NO est fixe (la plupart du temps) comme O, H, halogènes, gaz nobles, dont les NO sont à connaitre pour déduire le NO des atomes dont le NO n'est pas toujours le même (style le carbone ou ici le chrome). Et ici si on regarde à gauche, le chrome a le NO de l'ion, soit +III, et à gauche faut faire une petite formule pour trouver : sachant que la charge totale de la molécule est -2, qu'on a 4 O de charge -2 alors on a NO(Cr) - 8 = -2 donc NO(CR) = -2 + 8 = 6. Il augmente donc item FAUX.

 

 

QCM 7 :

B. Quand on veut un delta on fait TOUJOURS le plus grand moins le plus petit : on a donc forcement un résultat positif. l'item est bien juste : 0,34 - (-1,18) = 1,52.

C. Pour faire la réaction globale, notre but c'est qu'on ait le même nombre d'électrons échangés entre les deux couples. Dans ce qcm nous n'avons pas besoin d'équilibrer : on a bien deux électrons échangés. Si je te fais un autre exemple pour mieux comprendre : si je prends deux demie réactions, l'une qui aurait un transfert de 2 électrons et l'autre qui aurait un transfert de 4 électrons alors là on aurait eu besoin de multiplier par deux la première réaction pour bien avoir le même nombre d'électrons échangés si on combine les deux demie réactions (4 électrons donc). 

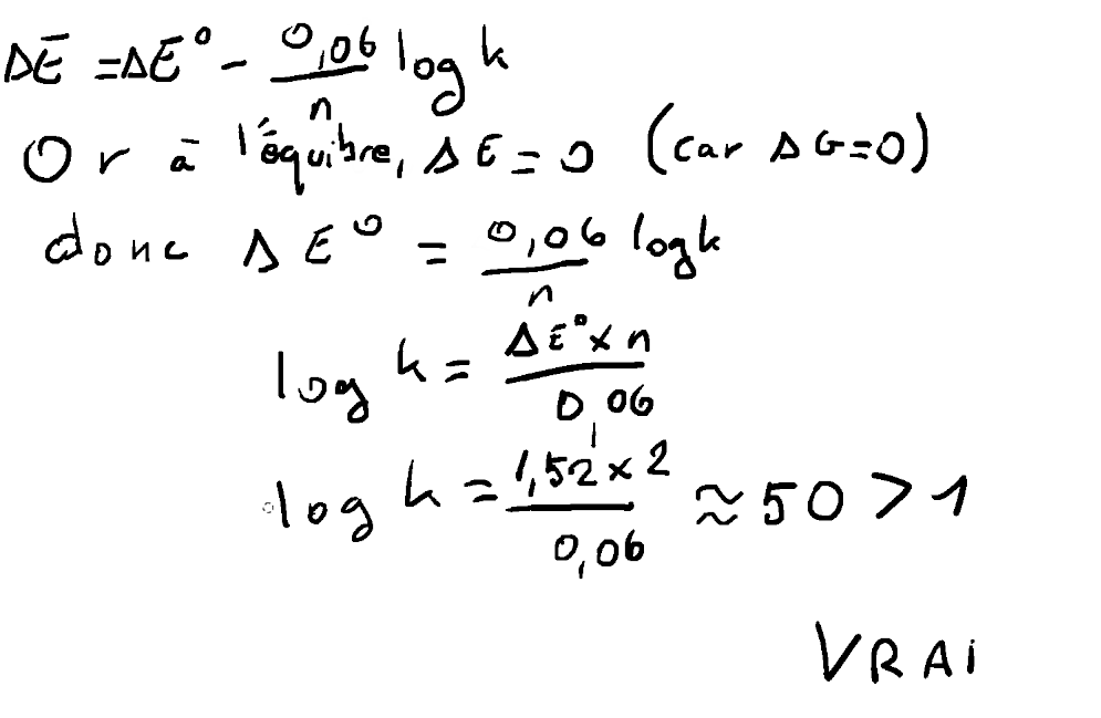
E. image.png.7694f921710487920139d2789e618398.png

 

J'espère que c'est plus clair !!

 

Posted

C'est tellement plus clair merci beaucoup !!!

 

Juste quelques dernières petites questions et je te laisse tranquille haha:

 

  • pourquoi n=2 pour le dernier item expliqué, c'est jusque parce qu'on a 1 mole de Mn2+ et 1 mole de Cu2+ dans le l'équation bilan c'est ça ? 

 

  • Et aussi par rapport à cette formule j'avais vu que parfois elle utilisait le pH, donc si la donnée du pH est fourni je dois TOUJOURS utiliser celle où y a le pH ou je peux même utiliser celle ci ?

 

il y a une heure, Ankyyrine a dit :

A. On regarde le carbone : ça change pas donc pas une réaction d'oxydoréductio

  • même si on me demande autre chose (exemple Clcomme ici MAIS qu'il y a qnd même du carbone) que le carbone et qu'il y a du carbone je me réfère sur lui ? (jsp si j'ai été claire)

 

Merci énormément t'as répondu à toutes mes questions en chimie haha !

 

  • Ancien Responsable Matière
Posted

n = nombre de moles de gaz en thermo

n = nombre d'électron en oxydo et c'est pour ça que c'est 2 (car 2 électrons échangés) 

 

Attention à ce petit piège.

 

Pour la question sur le pH ça va dépendre. Je pense que dans 90% des cas tu seras à pH 7 car le professeur vous demandera de trouver E°'. Et E°' est par définition à pH 7. Je vois mal un sujet avec un autre pH vu qu'on est en médecine et qu'on est à pH physiologique corporel, mais sinon oui il faut utiliser le pH donné en solution pour trouver par exemple E en fonction de E° par exemple. 

 

Pour ta dernière question soit on va te demander si la réaction est une réaction d'oxydo réduction, soit on va te demander de regarder un atome précis, et dans tous les cas ça va être un atome pour lequel on doit calculer son NO en fonction des atomes auquel il est lié. De façon générale si on te demande le NO d'un atome, soit il fait partie de ceux que tu as appris par coeur et donc tu réponds à l'item facilement, soit il faut le calculer. 

 

N'hésite pas si tu as d'autres points pas clairs !

Join the conversation

You can post now and register later. If you have an account, sign in now to post with your account.
Note: Your post will require moderator approval before it will be visible.

Guest
Reply to this topic...

×   Pasted as rich text.   Paste as plain text instead

  Only 75 emoji are allowed.

×   Your link has been automatically embedded.   Display as a link instead

×   Your previous content has been restored.   Clear editor

×   You cannot paste images directly. Upload or insert images from URL.

  • Recently Browsing   0 members

    • No registered users viewing this page.
×
×
  • Create New...
Radio