Jump to content

Annales 2024-2025 QCM 12 item B


Go to solution Solved by Penicilline,

Recommended Posts

Posted

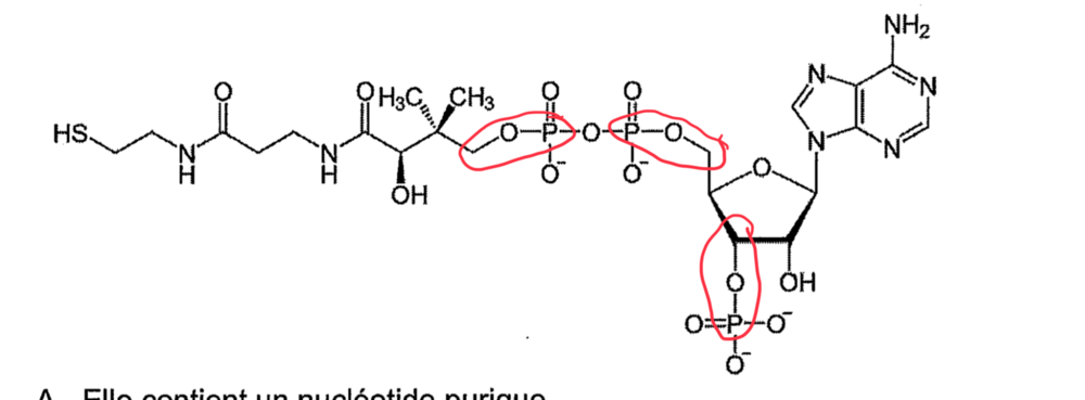
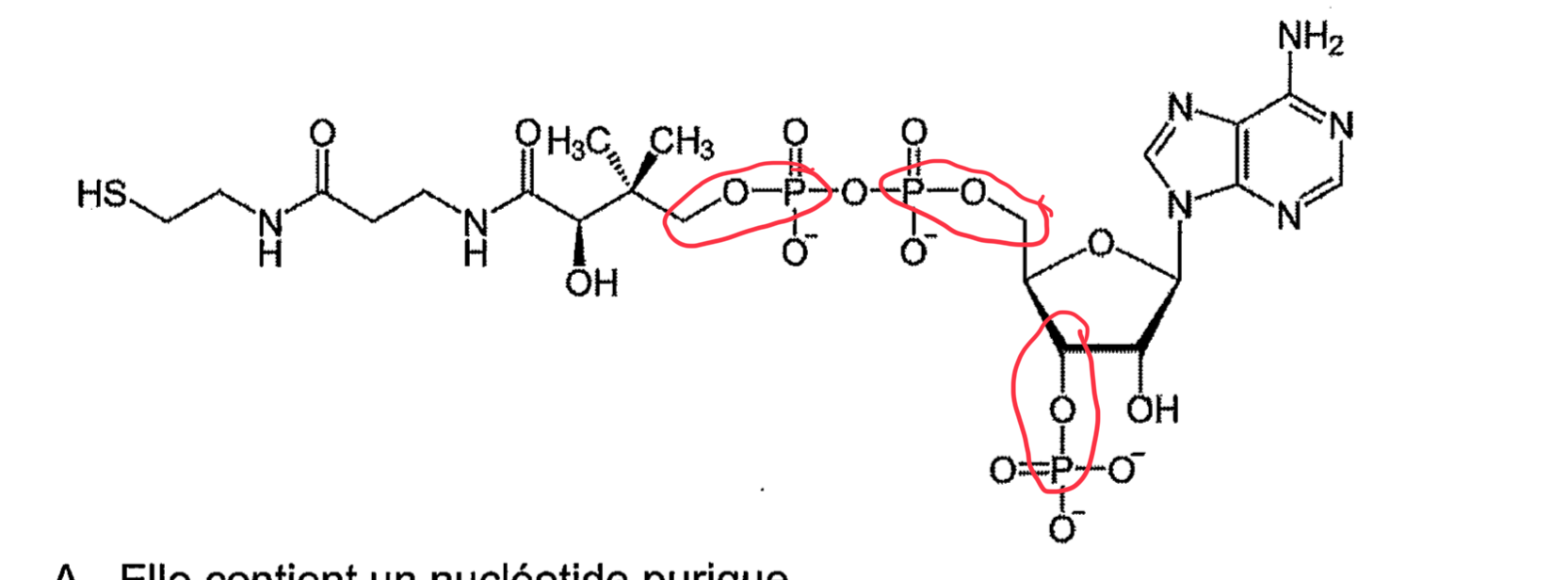
Bonjour je ne comprends pas pourquoi il y a 3 liaisons esters ? Les liaisons qui sont sur la gauche de la molécule sont des liaisons amides non?

Merci d'avance!

Posted

Normalement t’en as deux pour relier les phosphates à l’ose et une dernière pour relier le groupement diphosphate à la partie gauche de la molécule !!

  • Ancien Responsable Matière
Posted

Si jamais tu as besoin, voici des post qui pourraient t'aiguiller pour la prochaine fois !

 

 

 

Join the conversation

You can post now and register later. If you have an account, sign in now to post with your account.
Note: Your post will require moderator approval before it will be visible.

Guest
Reply to this topic...

×   Pasted as rich text.   Paste as plain text instead

  Only 75 emoji are allowed.

×   Your link has been automatically embedded.   Display as a link instead

×   Your previous content has been restored.   Clear editor

×   You cannot paste images directly. Upload or insert images from URL.

  • Recently Browsing   0 members

    • No registered users viewing this page.
×
×
  • Create New...