Jump to content

Problème avec l'hybridation


Go to solution Solved by Lauraaaa,

Recommended Posts

Posted

Bonjour,

Pourriez-vous m’aider s’il vous plaît à comprendre comment déterminer l’hybridation (sp, sp², sp³) ?

 

Dans le polycopié du Tutorat, il est indiqué qu’on peut utiliser la formule :

x = nombre d’atomes liés à l’atome central + nombre de doublets non-liants de l’atome central – 1,

et que ce x correspondrait directement à l’hybridation.

 

Mais cette formule ne fonctionne pas toujours pour moi.

 

Pour l’appliquer, je fais un chema avec des cases quantiques,je répartis les électrons, je place les liaisons, puis je compte les doublets. Ça marche pour des molécules simples comme CO2, H2O ou BF3.Cependant, pour certaines molécules comme SO₂, je n’arrive pas du tout à appliquer cette méthode. je bloque sur la répartition des électrons et je ne sais plus comment déterminer l’hybridation correctement.

 

Merci beaucoup d’avance !

Posted (edited)

Est ce que tu as en tête qu'une liaison double compte pour une seule liaison dans ce cas-ci ?

 

O=S=O : hybridation = 2 + 0 - 1 = 1 ? conclusion : hybridation sp

 

Je veux surtout pas te dire de bêtises mais est ce que tu ne confonds pas l'ordre de liaison (OL) [nb d'électron sur des couches liantes - nb d'électrons sur des couches antilliantes/2] avec l'hybridation sp, sp², sp3 [nombre de liaisons autour de l'atome central (les liaisons multiples comptent pour 1 seule) + nb de DBNL - 1) ?

 

En effet dans un cas tu comptes les électrons et dans l'autre les DBL/DBNL

Edited by lena'sista'cétylcholine,
Posted
6 minutes ago, lena'sista'cétylcholine, said:

Est ce que tu as en tête qu'une liaison double compte pour une seule liaison dans ce cas-ci ?

 

O=S=O hybridation = 2 + 0 - 1 = 1 ? conclusion : hybridation sp

Oui, je sais que "—" = 1sigma, "=" = 1o + 1π, "≡" = 1 o + 2 π.

 

Mais j'ai essayé de résoudre cet exercice avec ChatGPT, et il m'a expliqué que, dans la molécule de SO2, un oxygène serait en liaison simple et l'autre en liaison double ( O-S=O). et donc sp²

 

Le problème, c'est que j'ai du mal à visualiser directement les liaisons. Donc je commence toujours par faire un schéma avec les cases quantiques. Mais dans le cas de SO2, je n'arrive pas à l'appliquer correctement

Posted

Oui je crois que je comprends,

 

Dans un cas je ne peux pas t'aider parce que j'ai le même problème. Si c'est comment déterminer la géométrie de la molécule à partir du numéro atomique de ses atomes uniquement (pour ensuite déterminer l'hybridation. J'ai posé tellement de fois cette question ! (Je vais essayer de trouver le post d'il y a quelques jours pour te le mettre si comme moi c'est cette notion que tu comprends pas

J'avoue que je ne me suis pas plus penchée sur la question étant donné que j'avais terminé mes QCMS quand j'ai reçu la réponse donc je serai bien incapable de te réexpliquer

 

Dans l'autre cas j'ai pas compris ce que tu n'as pas compris et est ce que tu peux préciser ?😅

 

Par contre ce que je voulais t'expliquer ce n'est pas les liaisons pi et sigma en fonction du nombre de liaison mais que dans la formule : 

x = Nombre de liaisons autour de l'atome central + nb de DBNL - 1), le nombre de liaisons autour de l'atome, une liaison double comptera pour 1 de même qu'une triple donc si je détaille O=S=O

 

On a 2 double liaisons autour de S (soit 4 liaisons, mais comme on considère qu'une double liaison compte autant qu'une simple dans la formule, on comptera 1 + 1 liaison autour de l'atome de souffre)

0 DBNL

Soit x = 2 + 0 - 1 = 1, hybridation sp

 

Mais comme je le disait au départ, si ce qu'il te manque c'est comment on fait pour trouver que la molécule de SO2 a cette géométrie, je te mets le post auquel on m'a répondu il y a quelques jours (si j'y arrive mdrrrr)

 

Posted
4 minutes ago, lena'sista'cétylcholine, said:

Oui je crois que je comprends,

 

Dans un cas je ne peux pas t'aider parce que j'ai le même problème. Si c'est comment déterminer la géométrie de la molécule à partir du numéro atomique de ses atomes uniquement (pour ensuite déterminer l'hybridation. J'ai posé tellement de fois cette question ! (Je vais essayer de trouver le post d'il y a quelques jours pour te le mettre si comme moi c'est cette notion que tu comprends pas

J'avoue que je ne me suis pas plus penchée sur la question étant donné que j'avais terminé mes QCMS quand j'ai reçu la réponse donc je serai bien incapable de te réexpliquer

 

Dans l'autre cas j'ai pas compris ce que tu n'as pas compris et est ce que tu peux préciser ?😅

 

Par contre ce que je voulais t'expliquer ce n'est pas les liaisons pi et sigma en fonction du nombre de liaison mais que dans la formule : 

x = Nombre de liaisons autour de l'atome central + nb de DBNL - 1), le nombre de liaisons autour de l'atome, une liaison double comptera pour 1 de même qu'une triple donc si je détaille O=S=O

 

On a 2 double liaisons autour de S (soit 4 liaisons, mais comme on considère qu'une double liaison compte autant qu'une simple dans la formule, on comptera 1 + 1 liaison autour de l'atome de souffre)

0 DBNL

Soit x = 2 + 0 - 1 = 1, hybridation sp

 

Mais comme je le disait au départ, si ce qu'il te manque c'est comment on fait pour trouver que la molécule de SO2 a cette géométrie, je te mets le post auquel on m'a répondu il y a quelques jours (si j'y arrive mdrrrr)

Je ne pense pas que je confonds l'OL et l'hybridation, car je comprends bien la différence entre:

 

le nombre d'électrons sur les orbitales liante / antiliante (pour l'OL),

 

et le nombre de liaisons autour de l'atome central (→ donc l'hybridation).

 

Ce qui me pose surtout difficulté, c'est de déterminer correctement le nombre de liaisons et de doublets non-liants autour de l'atome central, surtout dans certaines molécules où la répartition des électrons n'est pas évidente pour moi au départ

Posted

Yep, bah du coup je pense qu'on a le même problème... Désolée de pas pouvoir t'aider plus, j'espère qu'un tuteur passera par là

Je reformule juste pour être sûre que j'ai bien compris ton problème : en gros tu ne sais pas (et moi non plus du coup) comment on détermine combien de liaisons relient l'atome central avec ses atomes périphériques en fonction des données sur les électrons qui l'entourent...?

Si c'est ça check le post que je t'ai envoyé, je n'ai aucune idée de si ça va t'aider parce que je ne l'ai pas encore repris pour moi mais ça faisait trois fois que je posais la question donc la tutrice a vraiment TOUT repris

Posted
4 minutes ago, lena'sista'cétylcholine, said:

Yep, bah du coup je pense qu'on a le même problème... Désolée de pas pouvoir t'aider plus, j'espère qu'un tuteur passera par là

Je reformule juste pour être sûre que j'ai bien compris ton problème : en gros tu ne sais pas (et moi non plus du coup) comment on détermine combien de liaisons relient l'atome central avec ses atomes périphériques en fonction des données sur les électrons qui l'entourent...?

Si c'est ça check le post que je t'ai envoyé, je n'ai aucune idée de si ça va t'aider parce que je ne l'ai pas encore repris pour moi mais ça faisait trois fois que je posais la question donc la tutrice a vraiment TOUT repris

Mais merci beaucoup quand même d'avoir essayé de m'aider !

  • Tuteur
  • Solution
Posted
il y a une heure, perseya a dit :

Bonjour,

Pourriez-vous m’aider s’il vous plaît à comprendre comment déterminer l’hybridation (sp, sp², sp³) ?

 

Dans le polycopié du Tutorat, il est indiqué qu’on peut utiliser la formule :

x = nombre d’atomes liés à l’atome central + nombre de doublets non-liants de l’atome central – 1,

et que ce x correspondrait directement à l’hybridation.

 

Mais cette formule ne fonctionne pas toujours pour moi.

 

Pour l’appliquer, je fais un chema avec des cases quantiques,je répartis les électrons, je place les liaisons, puis je compte les doublets. Ça marche pour des molécules simples comme CO2, H2O ou BF3.Cependant, pour certaines molécules comme SO₂, je n’arrive pas du tout à appliquer cette méthode. je bloque sur la répartition des électrons et je ne sais plus comment déterminer l’hybridation correctement.

 

Merci beaucoup d’avance !

Coucou !!

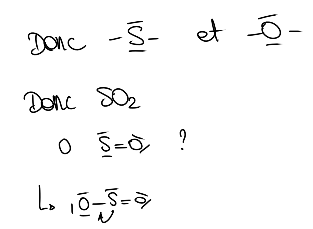
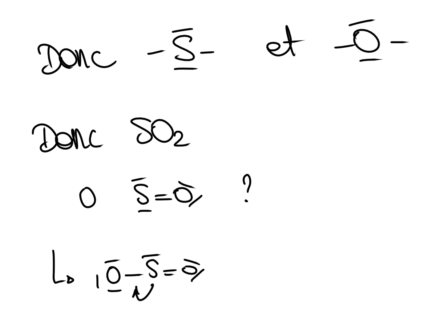
Alors pour mieux comprendre je te propose d’analyser ensemble la molécule SO2. 

Donc la molécule de SO2 c’est très bien de commencer par les cases quantiques. 

 

De ces cases quantiques on détermine les liaisons que peuvent faire nos atomes. 

Dans le cas de la molècule de SO2 c’est un cas particulier, le S ne peut pas donner deux doubles liaisons de ce fait il va y avoir la formation de liaisons datives. 

 

Donc si nous reprenons la formule du TAT nous avons : 

 

J’espère que c’est plus clair pour toi si tu souhaites qu’on essaye avec un autre exemple n’hésite pas ! 

 

image.png

image.png

image.png

Posted
5 minutes ago, Lauraaaa said:

Coucou !!

Alors pour mieux comprendre je te propose d’analyser ensemble la molécule SO2. 

Donc la molécule de SO2 c’est très bien de commencer par les cases quantiques. 

 

De ces cases quantiques on détermine les liaisons que peuvent faire nos atomes. 

Dans le cas de la molècule de SO2 c’est un cas particulier, le S ne peut pas donner deux doubles liaisons de ce fait il va y avoir la formation de liaisons datives. 

 

Donc si nous reprenons la formule du TAT nous avons : 

 

J’espère que c’est plus clair pour toi si tu souhaites qu’on essaye avec un autre exemple n’hésite pas ! 

 

image.png

image.png

image.png

D'accord, merci beaucoup

 

Si j'ai bien compris, il faut toujours qu'il ne reste pas d'électrons libres et, pour cela, on fait soit une activation, soit une excitation. Et une fois que nous avons réparti les liaisons, on peut compter combien de doublets non liants il nous reste. Est-ce que je comprends bien ? Et tu pourrais, s'il te plaît, me donner un exemple à faire pour que je puisse vérifier si mon raisonnement est correct, si cela ne te dérange pas ?

Posted

coucou, 

j'ai bcp de mal à comprendre ça aussi (j'ai posé la question hier mais on ne m'a pas encore répondu haha), ce que je ne comprend pas aussi c'est comment on en arrive à cette conclusion. Qu'est ce qui se passe dans le schéma avec les cases quantiques pour arriver à cette conclusion pour SOdu coup ?

image.png.1abbd51bc96f22cc539531315a18bf45.png

 

même avec l'explication d'une fiche IP je ne comprends pas, tout ce qui est activation, hybridation pourquoi ça se passe comme ça , et aussi pie et sigma (comment on sait où elles sont placées sans faire le diagramme énergétique en entier?

 

image.png.36362a88d3f294135f718fece6b1029e.png

 

désolé je pose bcp de questions à la fois mais j'ai tout essayé pour comprendre (vidéos, chat gpt, fiche IP) et je ne comprends pas.

Merci d'avance !

Join the conversation

You can post now and register later. If you have an account, sign in now to post with your account.
Note: Your post will require moderator approval before it will be visible.

Guest
Reply to this topic...

×   Pasted as rich text.   Paste as plain text instead

  Only 75 emoji are allowed.

×   Your link has been automatically embedded.   Display as a link instead

×   Your previous content has been restored.   Clear editor

×   You cannot paste images directly. Upload or insert images from URL.

  • Recently Browsing   0 members

    • No registered users viewing this page.
×
×
  • Create New...