Jump to content

Qcm 5 sujet type 1 poly de l avent


Go to solution Solved by Endocrine,

Recommended Posts

Posted

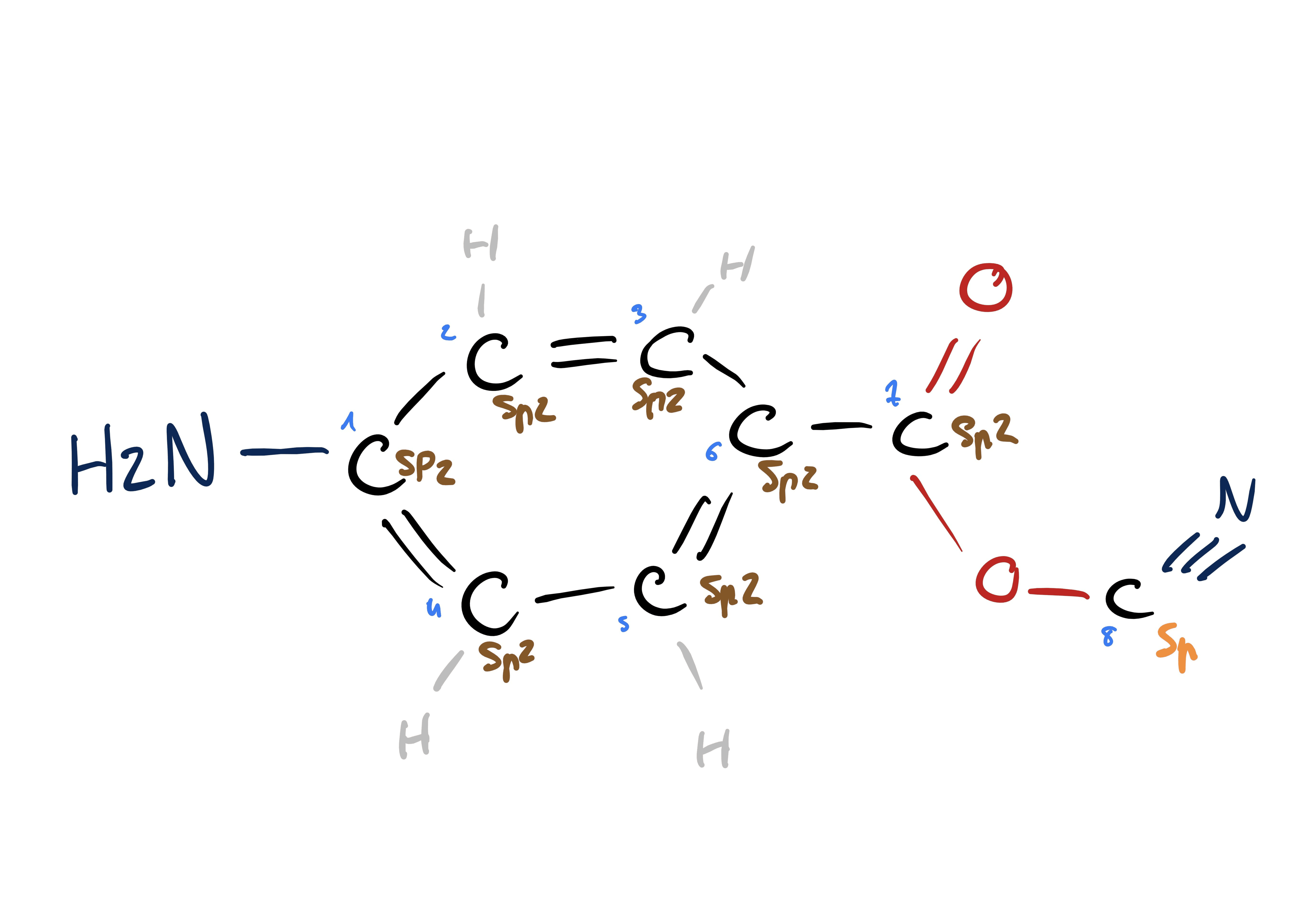
Salut j aimerai juste m assurer de l’item C. On est d’accord qu’il y’a des carbones qui sont hybridés sp2 grâce aux 2 liaisons de l’hydrogène mais les autres je vois plus comment ça peut se faire svp ?Capturedcran.2025-12-0623_32_50.thumb.png.e2e2d3402f8d7d5ddb42b7e1b2e33358.png

Posted

Coucou,

sans trop élaborer: Sur un carbone, 3 liaisons dont une est double ça fait et, donc sp2.

 

Ici, tu as un cycle à 6 carbones donc un cyclo-hexyl, sauf qu'avec les trois insaturations (le maximum possible), ça devient un phényl (avec NH2 ça fait une aniline...).

Mais ça c'est pas nécessaire pour répondre, il faut juste voir que chaque carbone a 3 liaisons dont une saturé, donc sp2.

Le cycle seul, ça fait 6 carbones sp2 + 1 (-CO-) sp2 = 7 carbones sp2.

 

Peut-être, n'as-tu pas considéré les hydrogènes qui n'aparraissent pas sur la représentation semi-développée ?

ça peut valoir le coup de les dessiner si tu ne les voit pas.

 

Bonnes révisions

Join the conversation

You can post now and register later. If you have an account, sign in now to post with your account.
Note: Your post will require moderator approval before it will be visible.

Guest
Reply to this topic...

×   Pasted as rich text.   Paste as plain text instead

  Only 75 emoji are allowed.

×   Your link has been automatically embedded.   Display as a link instead

×   Your previous content has been restored.   Clear editor

×   You cannot paste images directly. Upload or insert images from URL.

  • Recently Browsing   0 members

    • No registered users viewing this page.
×
×
  • Create New...