Jump to content

Question annale session 1 Décembre 2024 Item 12


Go to solution Solved by Émolyse,

Recommended Posts

Posted (edited)

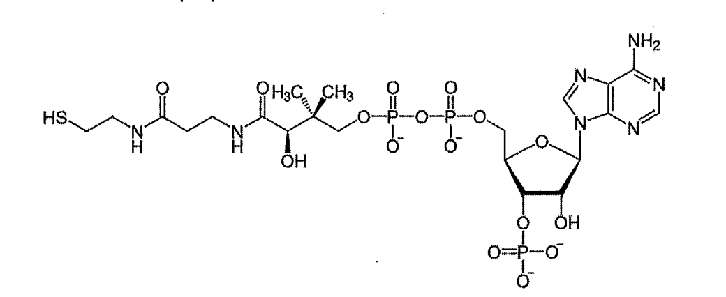
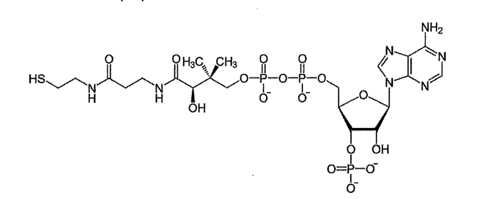
Bonjour, dans l'annale de session 1 du 17 décembre 2024, l'item 12)B "la molécule comprend 3 liaisons esters est marqué vraie. Je ne comprends pourquoi car pour moi il n'y a que 2 liaisons ester (car le sucre est lié à 2 phosphates) et aussi une liaison anhydre d'acide entre les phosphates. Est-ce une errata ou moi qui me trompe ? Merci

 

Edited by Pollux200380
suppression de l'image
  • Ancien Responsable Matière
  • Solution
Posted

Salut ! 

 

Cette question nous a été souvent demandée, je te renvoie directement à la réponse que j'avais donné il y a quelques semaines en espérant que cela t'aide. Si tu ne comprends toujours pas, n'hésite pas à nous le faire savoir ! 

 

Bonne journée ! 

 

Posted
Il y a 18 heures, Émolyse a dit :

Salut ! 

 

Cette question nous a été souvent demandée, je te renvoie directement à la réponse que j'avais donné il y a quelques semaines en espérant que cela t'aide. Si tu ne comprends toujours pas, n'hésite pas à nous le faire savoir ! 

 

Bonne journée ! 

 

Merci !

Join the conversation

You can post now and register later. If you have an account, sign in now to post with your account.
Note: Your post will require moderator approval before it will be visible.

Guest
Reply to this topic...

×   Pasted as rich text.   Paste as plain text instead

  Only 75 emoji are allowed.

×   Your link has been automatically embedded.   Display as a link instead

×   Your previous content has been restored.   Clear editor

×   You cannot paste images directly. Upload or insert images from URL.

  • Recently Browsing   0 members

    • No registered users viewing this page.
×
×
  • Create New...