Jump to content

Annales 2024-2025


Go to solution Solved by caro.tide,

Recommended Posts

Posted

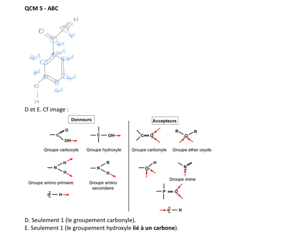
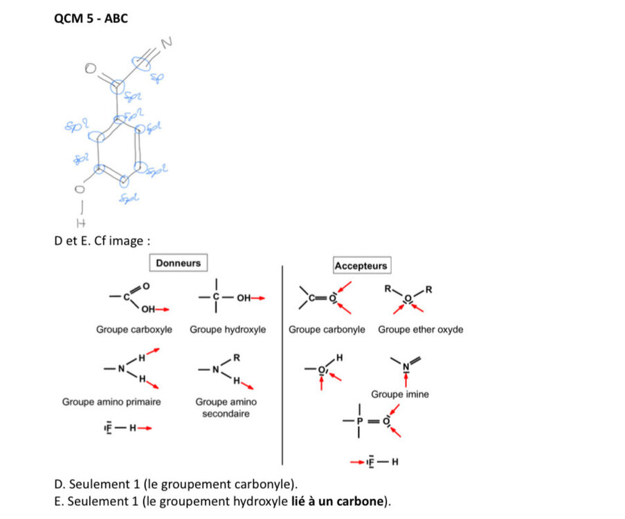
Je ne comprend pas pourquoi le N en haut n’est pas un accepteurs de liaison hydrogène. Merci IMG_0332.thumb.jpg.6ff1ece270c23b70b66e239d2f610357.jpg

  • Responsable Matière
  • Solution
Posted

Salut ! 

 

J'avoue que j'aurais dit la même chose que toi, je laisse une autre tuteur me corriger si besoin mais selon moi il y a 3 groupements accepteurs de liaisons H.

 

Bonne soirée !

Join the conversation

You can post now and register later. If you have an account, sign in now to post with your account.
Note: Your post will require moderator approval before it will be visible.

Guest
Reply to this topic...

×   Pasted as rich text.   Paste as plain text instead

  Only 75 emoji are allowed.

×   Your link has been automatically embedded.   Display as a link instead

×   Your previous content has been restored.   Clear editor

×   You cannot paste images directly. Upload or insert images from URL.

  • Recently Browsing   0 members

    • No registered users viewing this page.
×
×
  • Create New...
Radio