Jump to content

chimi orga


Go to solution Solved by Bastitine,

Recommended Posts

Posted

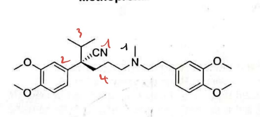
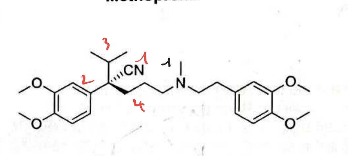
Salut je ne comprend pas pourquoi la molécule est de configuratuon S et pas R dans la correction on me dit que car le 4eme substituant et devan donc on inverse mais du coup lorsque le 4eme substituant est devant meme si ces pas H on inverse ??

Screenshot_20251201_135632_Samsung Notes.jpg

  • Responsable Matière
  • Solution
Posted

Salut @khatabi ! 😊 

@Carmsette le classement est bien bon, malgré la taille du groupement de droite. Pour comparer les groupements 3 et 4 on fait ainsi : dans un premier temps --> un carbone pour 3 et 4.

Deuxième temps --> deux carbones et un hydrogène pour 3 / un carbone et 2 hydrogènes pour 4, à cette étape 3 gagné sur 4.

 

Et oui, quand le groupement 4 est devant, il faut toujours inverser la configuration (que le groupement 4 soit un H ou pas).

 

Dis moi si c'est bon pour toi !

Join the conversation

You can post now and register later. If you have an account, sign in now to post with your account.
Note: Your post will require moderator approval before it will be visible.

Guest
Reply to this topic...

×   Pasted as rich text.   Paste as plain text instead

  Only 75 emoji are allowed.

×   Your link has been automatically embedded.   Display as a link instead

×   Your previous content has been restored.   Clear editor

×   You cannot paste images directly. Upload or insert images from URL.

  • Recently Browsing   0 members

    • No registered users viewing this page.
×
×
  • Create New...