Jump to content

Z ou E ?


Go to solution Solved by L'Electron_Augé,

Recommended Posts

Posted

Salut, j’ai vraiment du mal à reconnaître et comprendre les Z ou E en chimie orga, je ne comprends pas tellement la méthode…

Merci beaucoup !

 

  • Responsable Matière
  • Solution
Posted (edited)

Coucou @rosèla 

Tout d'abord, le Z/E définit une configuration en isomérie géométrique, qui dit géométrique dit non optique donc on ne va pas s'embêter avec la lumière polarisée ou la notion de carbone asymétrique.


L'isomérie géométrique concerne les doubles liaisons (en PASS on ne traitera que C=C, C=N et N=N) qui portent des atomes ou groupes différent 2 à 2 (phrase du diapo de cours).


Décryptons ca : Une double liaison : ce qui va avoir pour effet de fixer les atomes qui y sont liés dans une certaines configuration spatiale. En effet il n'y a pas de libre rotation autour d'une double liaison comme il peut y en avoir autour d'une simple liaison (conformère = libre rotation autour d'une simple liaison C-C par exemple).

image.png.5ab9a21d6c71ecdd670f3da39ff64431.pngLa double liaison est plane donc si tu te places en face tu auras la double liaison et 2 substituants en haut (H et H dans ce cas) et 2 en bas (CH3 et CH3 dans ce cas) comme sur la molécule ci contre à gauche.

image.png.e90b49f701b127925d8c2ce5e9139ec2.pngOu bien si tu te places latéralement tu auras 2 substituants en avant (CH3 et OH) et 2 en arrières (H et C2H5) comme si la molécule correspondait à une feuille de papier que tu regardes par la tranche, elle est toujours plane mais c'est ton point de vu qui change comme sur la molécule à droite.

 

Une fois que l'on a la double liaison, on va regarder les groupements qui sont directement lié aux carbones impliqués dans la double liaison et vérifier que chacun soit lié à 2 substituants différents => chaque carbone de la double liaison lié à 2 substituants différents.


ex la molécule de gauche, c'est bien le cas CH3 différent de H donc isomérie géométrique applicable /!\ on a les même substituants des deux côtés de la double liaison, ce n'est pas un problème tant que de chaque côté ce soit 2 substituants différents. 

 

Une fois qu'on s'est assuré que la molécule respectait bien ces règles on passe à l'étape suivante : Z ou E ?
Pour ca, de chaque côté de la double liaison on classe les atomes par ordre de priorité (Z décroissant comme en isomérie optique R/S). On va avoir de chaque côté un substituant n°1 et un substituant n°2.

Puis on compare avec l'autre côté :

-> Si les 2 substituants qui portent le même numéro de classement sont du même "côté" (donc les deux 1 en bas et les deux 2 en haut OU les deux 1 en avant et les deux 2 en arrière) alors le composé est Z (vient de "zusammen" en allemand qui veut dire ensemble, seule utilité de 6 ans d'allemand 🤡). 

-> Si les 2 substituants qui portent le même numéro de classement sont à l'opposé (donc 1 en bas d'un côté de la double liaison et le 1 de l'autre côté en haut OU le 1 en avant et l'autre 1 en arrière) alors le composé est E (attention E ne fait par référence à "ensemble" donc moyen mnémotechnique un peu foireux).
Et le tour est joué SAUF exceptions bien sûr sinon ca serait trop facile ...
 

- Si tu as les 2 mêmes atomes directement lié à ton carbone impliqué dans la double liaison (que se soit le carbone de gauche ou de droite peut importe) tu vas chercher dans les atomes lié à l'atome directement lié pour les classer comme pour le classement en R/S ex un acide et un méthyl -> méthyl lié à 3H alors qu'acide doublement lié à un O... donc Acide n°1 de ce côté ci.
- Dans le cas d'une liaison C=N ou N=N, tu n'auras qu'un substituant lié à l'azote, ce substituant sera automatiquement classé n°1 (le doublet non liant de l'azote n'étant jamais prioritaire). 

 

Le composé à gauche est Z (les deux méthyl du même côté)
Le composé à droite est également Z (CH3 n°1 pour le carbone de gauche et OH n°1 pour le carbone de droite

Je crois avoir fait le tour de l'isomérie géométrique néanmoins n'hésite pas si ce n'est toujours pas clair ou des questions.
Bonne soirée et bon courage !!

 

Edited by L'Electron_Augé
Posted


 En reprenant des qcms j’ai bloqué sur cet item B…je n’arrive pas à voir dans quelle mesure on la considère E.

Merci d’avance 🙏🏻

QCM supplémentaires Chimie 2024-2025.png

  • Responsable Matière
Posted (edited)

RE

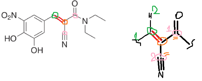
Alors j'ai oublié de le mentionner dans le message précèdent mais il n'y a pas de Z/E dans un cycle benzénique donc pas de Z/E pour les doubles liaisons du cycle. Je demande confirmation pour ca car je n'en suis plus très sûr.

Donc la seule double liaison pouvant être soumise à l'isomérie optique est celle en rouge.

Si jamais tu hésitais avec C=O -> impossible car 2 dnL (doublet non liant) sur l'oxygène. Pour C triple liaison N -> impossible là aussi car azote ne peut plus former de liaison.


- Donc pour le côté "vert" de la double liaison tu as directement lié au carbone de la double liaison (entouré en vert), un hydrogène non représenté en topologique et un carbone impliqué dans le cycle. Donc Zc > Zh (numéro atomique du carbone supérieur à celui de l'hydrogène). Alors C = n°1 et H = n°2.
- Du côté "orange" de la double liaison tu as directement lié au carbone de la double liaison (entouré en orange), deux carbones (entourés en rose) donc Zc = Zc, pas de discrimination possible pour un classement. On va alors chercher les atomes directement liés à ces carbones "roses". Pour celui du haut on a un O et un N et pour celui du bas un N. On sait que Zo > Zn. Alors carbone rose du haut en n°1 et carbone rose du bas en n°2.
Les n°1 de chaque côté de la double liaison sont à l'opposé (C du côté vert en bas et C n°1 rose en haut) -> Configuration E
image.png.f253466550ee9a35817c6fac5e765196.png 

Le composé à droite est un ZOOM détaillé d'une partie de la molécule (les espèces de serpentins aux extrémités signifient des liaisons coupée qui ne nous intéresse pas dans notre cas pour déterminer la configuration).

Les = en orange signifient que les deux carbones lié au carbone orange ne sont pas classables directement car même Z (on va donc chercher plus loin).

 

Merci paint ^^
Bonne journée !!

 

Edited by L'Electron_Augé
  • Ancien Responsable Matière
Posted

Pour compléter les réponses des tuteurs, il est vrai que ce QCM est piégeux puisque on a également les doubles liaisons du cycle. Parmi les doubles liaisons, on a deux géométries Z et une E. Le QCM peut prêter à confusion

  • Ancien Responsable Matière
Posted

Bonjour tout le monde @rosèla !

Dans le poly de l’avent de cette année (qui devrait pas tarder à sortir ^^), il y aura un autre qcm sur l’entacapone qui sera plus juste au niveau du sens des items. Car il est vrai que dire que l’entacapone est de configuration E ne veut rien dire dans la mesure qu’il n’a pas qu’une seule isomérie géométrique Z/E.


C’est comme si on disait qu’une molécule possédant 2 carbones asymétriques qu’elle est de configuration R. On dirait plutôt qu’elle est RR, RS, SR ou SS.

Bonne journée et bon courage !

Join the conversation

You can post now and register later. If you have an account, sign in now to post with your account.
Note: Your post will require moderator approval before it will be visible.

Guest
Reply to this topic...

×   Pasted as rich text.   Paste as plain text instead

  Only 75 emoji are allowed.

×   Your link has been automatically embedded.   Display as a link instead

×   Your previous content has been restored.   Clear editor

×   You cannot paste images directly. Upload or insert images from URL.

  • Recently Browsing   0 members

    • No registered users viewing this page.
×
×
  • Create New...
Radio