Jump to content

Isomérie


Go to solution Solved by Lauraaaa,

Recommended Posts

  • Tuteur
  • Solution
Posted

Coucou !! 

Alors des énantiomères ce sont 2 molècules qui sont lié aux même atomes mais qui se différencient par leur chiralité. On aura donc bien un conformation RS et SR. 

En revanche des conformères, ce sont 2 molécules qui sont lié également aux mêmes atomes mais il est possible SANS casser les liaisons ( simplement par rotation ) de retrouver à partir d’une des deux l’autre molécule. 

Voici quelques exemples pour que ce soit plus claire :

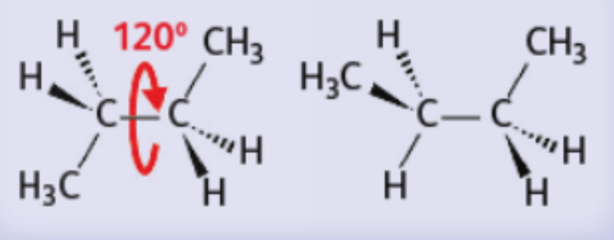
image.thumb.png.caae384c121057f31f1f198638997f47.png

Par exemple dans ce cas-ci, nous voyons bien qu’il est possible de trouver la molécule de droite simplement en faisant pivoter la liaison C-C tout en respectant la disposition géo-spatiale des substituants  => nous somme dans un conformère. 

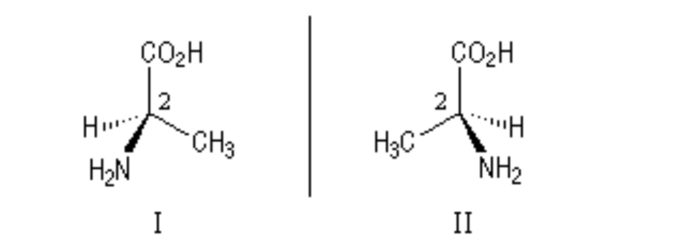
En revanche, dans ce cas ci-dessous 

image.thumb.png.d8afe14168adb7ce33375422adc2da42.png

 Tu vois qu’on a pas simplement tourné la liaison C-C => ce sont des énantiomères 

n’hésite pas à essayer de visualiser la molécule avec des stylos pour mieux comprendre sa configuration dans l’espace. 

J’espère t’avoir aider à un peu mieux comprendre les notions d’énantiomère et de conformère ^^ ! 

 

 

 

Join the conversation

You can post now and register later. If you have an account, sign in now to post with your account.
Note: Your post will require moderator approval before it will be visible.

Guest
Reply to this topic...

×   Pasted as rich text.   Paste as plain text instead

  Only 75 emoji are allowed.

×   Your link has been automatically embedded.   Display as a link instead

×   Your previous content has been restored.   Clear editor

×   You cannot paste images directly. Upload or insert images from URL.

  • Recently Browsing   0 members

    • No registered users viewing this page.
×
×
  • Create New...