Lucation Posted October 26, 2025 Posted October 26, 2025 Bonjour, j’ai une question à propos du QCM 28 item B et du QCM 29 item B également des exercices de chimie organique du poly du tutorat (page 99) car je ne comprends pas pourquoi on ne trouve pas respectivement pour ces deux items un nombre de stéréoisomères de 2 (car présence d’une double liaison) et de 4 (car présence de 2 double liaisons). Merci d’avance pour votre aide. Quote
Tuteur Ornithorynque Posted October 26, 2025 Tuteur Posted October 26, 2025 Salut Est-ce que tu pourrais m'envoyer les QCM en photo stp ? Quote
Lucation Posted October 26, 2025 Author Posted October 26, 2025 Je n’arrive pas à t’envoyer les photos ça me dit que c’est trop volumineux. Cela fait maintenant 15 min que j’essaye de te l’envoyer Quote
Tuteur Ornithorynque Posted October 26, 2025 Tuteur Posted October 26, 2025 Ah mince... Juste c'est quel polycopié du TAT plus précisément ? Je vais voir si je peux le trouver sur la librairie. Quote
Lucation Posted October 26, 2025 Author Posted October 26, 2025 Poly du tutorat de chimie organique de cette année Quote
Tuteur Solution Ornithorynque Posted October 26, 2025 Tuteur Solution Posted October 26, 2025 C'est bon je l'ai trouvé Alors pour le QCM 28 item b : Il n'y a qu'un seul stéréoisomère car il n'y a pas de carbone asymétrique, ni de double liaison Z/E. En effet certes il y a une double liaison mais celle-ci est intégrée dans un cycle, donc on ne peut pas déterminer de Z ni de E. Pour le QCM 29 item b : Dans cette molécule il y a effectivement 2 doubles liaisons mais on ne peut pas déterminer leur géométrie car elles ne possèdent pas de chaque côté de la double liaison 2 groupements différents ! Par exemple la double liaison à gauche : du côté droit il y a bien 2 groupements différents (un H et CH=CH2) mais sont côté gauche a 2H identiques. Donc elle n'est ni Z ni E. Et ainsi ta molécule ne possède qu'un stéréoisomère. J'espère que tu as compris, si jamais je peux essayer de te réexpliquer d'une autre façon Ankyyrine 1 Quote
Lucation Posted October 26, 2025 Author Posted October 26, 2025 Merci pour ta réponse mais je ne comprends pas pourquoi on ne compte pas les doubles liaisons pour déterminer les stéréoisomères sachant que dans le cours il est dit que l’on peut déterminer le nombre de stéréoisomères à partir des doubles liaisons et des carbones asymétriques. Quote
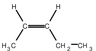
Tuteur Ornithorynque Posted October 26, 2025 Tuteur Posted October 26, 2025 Oui effectivement pour trouver le nombre de stéréoisomère (= les différentes configurations que ta molécule peut prendre : S/R ou Z/E) tu dois te baser sur le nombre de carbone asymétrique ou de double liaison. Sauf que pour compter une double liaison elle doit forcément posséder des groupements différents de chaque côté pour pouvoir dire qu'elle est Z ou E et donc en déduire le nombre de stéréoisomère. Je vais te prendre un exemple pour que tu comprennes mieux : Cette molécule par exemple n'est ni Z ni E donc elle ne peut pas posséder en quelque sorte "différente forme". Elle ne possède qu'un stéréoisomère. En revanche c'est molécule là possède une isomérie géométrique car elle possède des groupements différents de part et d'autre de la double liaison. Elle peut donc soit être Z soit être E, et ainsi elle peut exister sous 2 formes différentes, donc elle a 2 stéréoisomères Est-ce que j'ai répondu à ta question ? Ankyyrine and ArthurD 2 Quote
Ancien Responsable Matière Ankyyrine Posted October 26, 2025 Ancien Responsable Matière Posted October 26, 2025 Je complète juste la réponse déjà excellente du tuteur : Pour l'item 28B, on sait que la molécule ne peut être que Z. En effet, on a un cycle, donc il est impossible d'obtenir une forme E (ça reviendrait à tordre le cycle, on n'arrive pas à la construire). Les deux substituants les plus forts sont ceux représentés en haut, donc elle est bien sous forme Z. Il faut impérativement avoir deux substituants différents de chaque côté de la double liaison, comme l'a bien expliqué le tuteur. N'hésite pas si tu as besoin de plus de précision ! Quote
Lucation Posted October 26, 2025 Author Posted October 26, 2025 Merci beaucoup pour vos réponses je n’avais pas ce détail. Maintenant j’ai compris ! Bonne soirée. Ornithorynque and Ankyyrine 1 1 Quote
Recommended Posts
Join the conversation
You can post now and register later. If you have an account, sign in now to post with your account.
Note: Your post will require moderator approval before it will be visible.