Jump to content

configuration absolue carbone


Go to solution Solved by Aleksandra,

Recommended Posts

Posted

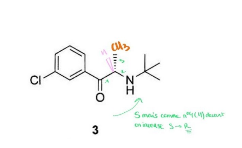
bonjour, sur la correction ce carbone est considéré r car en 1 ils ont mis le carbone de gauche et en 2 l'azote, mais ça ne devrait pas être l'azote en 1 car son z=7 et le carbone z=6. il serait donc s si je ne me trompe pas ? image.png.520963a4d2cbffd085a19dc515f4094e.png

Posted

merci ! j'ai juste une autre question car plusieurs fois également dans des corrections d'annales, un azote (non lié à des h), est considéré comme une amine. Par exemple sur cette molécule, il y aurait une amine, mais à moins que je n'ai pas bien compris, une amine c'est nh2 ? un azote lié à des carbones ne peut pas être une amine ? je suis un peu perdue 😅 image.png.dfb1739bd4d1baaee9190fbffb7f8558.png

  • Tuteur
Posted

image.png.aff65466de1e0efc7b76d88020425b47.png

 

Voilà ce que la prof avait mis dans son diapo. Donc une amine NH2 est une amine primaire. Mais tu peux avoir des amides secondaires ou tertiaires qui sont liés à plus de 1 carbone. 

Pour savoir la classe de l'amine, il te faut compter le nombre de carbones qui sont liés à ton azote. 

Join the conversation

You can post now and register later. If you have an account, sign in now to post with your account.
Note: Your post will require moderator approval before it will be visible.

Guest
Reply to this topic...

×   Pasted as rich text.   Paste as plain text instead

  Only 75 emoji are allowed.

×   Your link has been automatically embedded.   Display as a link instead

×   Your previous content has been restored.   Clear editor

×   You cannot paste images directly. Upload or insert images from URL.

  • Recently Browsing   0 members

    • No registered users viewing this page.
×
×
  • Create New...
Radio