c__ Posted October 20, 2025 Posted October 20, 2025 bonjour, est faisant des qcm je me suis rendue compte que je ne comprenais pas où se trouvaient exactement les liaisons ester, phosphodiester, N-osidiques... etc par exemple je ne comprends pas comment on trouve 3 liaisons ester dans cette molécule. Quote
Responsable Matière Solution Lénadénine Posted October 20, 2025 Responsable Matière Solution Posted October 20, 2025 Coucou! La liaison N-osidique: elle est entre la base azotée et le sucre La liaison Ester: elle est entre un groupement phosphate et un OH du sucre La liaison phosphodiester: elle se entre 2 sucres reliés par un même phosphate La liaison anhydride d’acide: elle se entre 2 phosphates, c’est une liaison riche en énergie. Dans cette molécule, il y a bien 3 liaison Ester. Tu en a une première entre le sucre et le premier phosphate et 2 autres liaison anhydride phosphorique entre les 3 phosphates. Il faut là que tu comptes donc la liaison sucre phosphate + les liaisons entre les phosphates. J’espère avoir répondu à ta question! N’hésites pas si c’est pas clair ! anaé.sthésie, Penicilline, emma-tie and 4 others 2 4 1 Quote
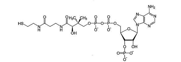
Ancien Responsable Matière Émolyse Posted October 20, 2025 Ancien Responsable Matière Posted October 20, 2025 Je complète la réponse de @lenadénine avec un petit schéma ci dessous, ça peut toujours servir. Ensuite, selon moi, les 3 liaisons ester se retrouve : - entre le 3' du ribose et le groupe phosphate en bas - entre le 5' du ribose et le phosphate alpha (1er phosphate) -entre le 2e phosphate et la chaîne carbonée (a gauche) (j'ai mis un second schéma si jamais) Pour rappel: une liaison ester est une liaison chimique entre un acide carboxylique et un alcool (ou un composé avec un groupe OH). N'hésite pas si tu as d'autres question ou des doutes ! On espère avoir réussi à éclairer ta lanterne ! Bonne journée. Lénadénine, Penicilline, T'choupi_et_Doudou and 2 others 1 1 3 Quote
c__ Posted October 21, 2025 Author Posted October 21, 2025 ok merci beaucoup c'est plus clair maintenant ! Lénadénine 1 Quote
heaven Posted November 30, 2025 Posted November 30, 2025 (edited) Le 20/10/2025 à 12:22, Émolyse a dit : Je complète la réponse de @lenadénine avec un petit schéma ci dessous, ça peut toujours servir. Ensuite, selon moi, les 3 liaisons ester se retrouve : - entre le 3' du ribose et le groupe phosphate en bas - entre le 5' du ribose et le phosphate alpha (1er phosphate) -entre le 2e phosphate et la chaîne carbonée (a gauche) (j'ai mis un second schéma si jamais) Pour rappel: une liaison ester est une liaison chimique entre un acide carboxylique et un alcool (ou un composé avec un groupe OH). N'hésite pas si tu as d'autres question ou des doutes ! On espère avoir réussi à éclairer ta lanterne ! Bonne journée. Fait Excuse moi de te déranger je voulais juste savoir le jour du concours comment on fait pour savoir que ça https://ibb.co/zWCMmCjg c'est un sucre merci d’avance !!! Edited November 30, 2025 by heaven Émolyse 1 Quote
Responsable Matière Lénadénine Posted November 30, 2025 Responsable Matière Posted November 30, 2025 Coucou @heaven! Ce que tu as entouré en jaune n’est pas le sucre, mais plutôt une chaîne caractéristique du coenzyme À. Ton sucre lui est sous forme de cycle sur cette molécule et en général dans toutes les bases. J’espère avoir répondu à ta question ! Bon courage ! Émolyse 1 Quote
heaven Posted November 30, 2025 Posted November 30, 2025 Il y a 1 heure, Lénadénine a dit : Coucou @heaven! Ce que tu as entouré en jaune n’est pas le sucre, mais plutôt une chaîne caractéristique du coenzyme À. Ton sucre lui est sous forme de cycle sur cette molécule et en général dans toutes les bases. J’espère avoir répondu à ta question ! Bon courage ! Mais du coup je comprends pas trop ou se trouve la 3eme liaison ester (entre sucre et phosphate) https://ibb.co/JjWH74pn. La 3 correspond a quoi Quote
Responsable Matière Lénadénine Posted November 30, 2025 Responsable Matière Posted November 30, 2025 J’arrive pas à voir ta photo… Quote
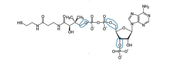
Tuteur emma-tie Posted November 30, 2025 Tuteur Posted November 30, 2025 (edited) Coucou, les 3 liaisons Ester sont entourées en bleues sur l’image :) pour la seconde image, je ne peux pas la voir non plus :/ Edited November 30, 2025 by emma-tie Lénadénine 1 Quote
heaven Posted November 30, 2025 Posted November 30, 2025 il y a 4 minutes, Lénadénine a dit : J’arrive pas à voir ta photo… il y a 3 minutes, emma-tie a dit : Coucou, les 3 liaisons Ester sont entourées en bleues sur l’image :) Du coup cette liaison (ester) est entre un phosphate et un sucre https://ibb.co/Z630KdjQ ? Pourquoi on a parle de coenzyme alors.Désolé pour les questions j’ai du mal a comprendre Quote
Tuteur Lune_ Posted November 30, 2025 Tuteur Posted November 30, 2025 Salut ! La coenzyme n'est pas forcément importante ici (elle correspond à la molécule entière), le but c'est que tu arrives à reconnaître les structures (comme le sucre ou la base) et les liaisons que tu a vus en cours dans une molécule inconnue, ici la coenzyme. Cette liaison est bien une liaison ester, mais elle ne se fait pas avec un sucre mais un autre composé pour pouvoir former la coenzyme A. heaven, emma-tie and Émolyse 2 1 Quote
Recommended Posts
Join the conversation
You can post now and register later. If you have an account, sign in now to post with your account.
Note: Your post will require moderator approval before it will be visible.