Jump to content

Thermodynamie


Go to solution Solved by Imooo,

Recommended Posts

Posted

Hey!

je n’arrive pas à faire le calcul du dernier item? Pourriez vous m’aider s’il vous plaît?😊 voici ce que j’ai essayé de fairephduzn.jpg

zl41jd.jpglga4pc.jpg

  • Tuteur
  • Solution
Posted (edited)

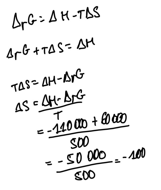
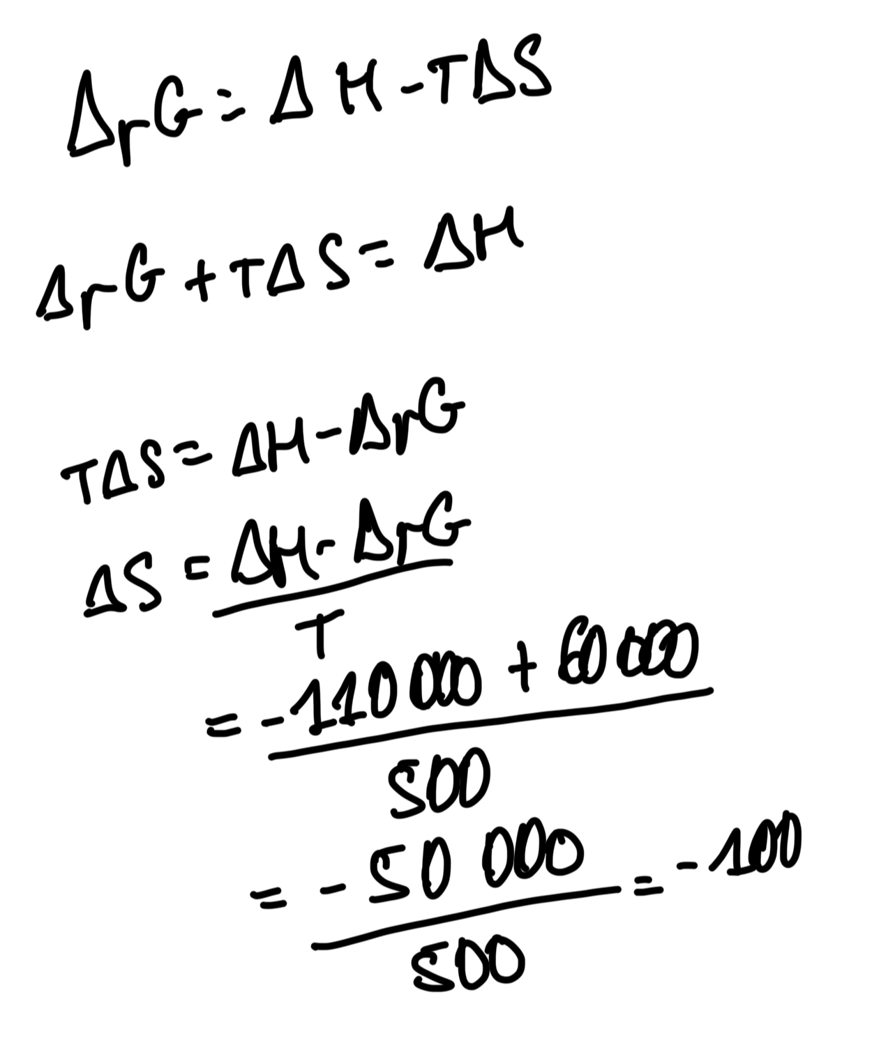
Coucou, je te joins ci dessous le calcul que j’ai fais et je trouve le même résultat que la correction. N’hésite pas si tu as d’autres questions.

Calcul.thumb.png.9e9f716657cbbc048ef071f723544ed7.png

 

Edited by Imooo

Join the conversation

You can post now and register later. If you have an account, sign in now to post with your account.
Note: Your post will require moderator approval before it will be visible.

Guest
Reply to this topic...

×   Pasted as rich text.   Paste as plain text instead

  Only 75 emoji are allowed.

×   Your link has been automatically embedded.   Display as a link instead

×   Your previous content has been restored.   Clear editor

×   You cannot paste images directly. Upload or insert images from URL.

  • Recently Browsing   0 members

    • No registered users viewing this page.
×
×
  • Create New...