Jump to content

qcm 13 oxydoréduction poly


Go to solution Solved by caro.tide,

Recommended Posts

Posted (edited)

Bonjour , ici pour la correction de D c'est marqué vrai , est ce que c'est le nombre d'oxydation de toute la molécule qui diminue ? je croyais c'était que celui de Cr car la charge de la molécule est de -2 donc logiquement elle augmente ? jsp 😭 

image.png.a58742a0d0f489985e2eb0bb51e38106.png

Edited by sarratomie
  • Responsable Matière
Posted (edited)

Salut !

 

Dans le couple Cr2O72-/Cr3+, la molécule Cr2O72- est l'oxydant et Cr3+ est le réducteur. Tu peux le retrouver en faisant la demi-équation du couple:

 

Cr2O72- + 14 H3O+ + 6 e- = 2 Cr3+ + 21 H2O

 

Dans cette demi-réaction, Cr2O72- gagne des électrons donc est l'oxydant alors que Cr3+ en perd, c'est donc le réducteur.

 

Dans la réaction donnée, Cr2O72- réagit pour former du Cr3+. Au cours de cette réaction, il sera donc réduit. Lors d'une réduction, le nombre d'oxydation diminue donc l'item D est bien vrai.

 

J'espère avoir pu t'aider, n'hésite pas si tu as d'autres questions !

Edited by caro.tide
  • Responsable Matière
  • Solution
Posted

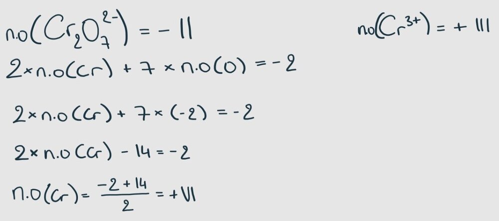
Tu peux aussi calculer le nombre d'oxydation du Cr dans les deux composés du couple. Je t'ai fait le calcul ci-dessous.

SmartSelect_20251018_095950_SamsungNotes.thumb.jpg.5f8df1edb99b2f7d6b7607ed0c2a9f40.jpg

Dans la réaction tu passes du Cr2O72- au Cr3+, tu passes donc de n.o(Cr) = +VI à n.o(Cr) = +III.

C'est bien une diminution du n.o, que tu retrouves par le calcul.

Join the conversation

You can post now and register later. If you have an account, sign in now to post with your account.
Note: Your post will require moderator approval before it will be visible.

Guest
Reply to this topic...

×   Pasted as rich text.   Paste as plain text instead

  Only 75 emoji are allowed.

×   Your link has been automatically embedded.   Display as a link instead

×   Your previous content has been restored.   Clear editor

×   You cannot paste images directly. Upload or insert images from URL.

  • Recently Browsing   0 members

    • No registered users viewing this page.
×
×
  • Create New...
Radio