Jump to content

Recommended Posts

Posted

Coucou ! 

Est ce que quelqu'un pourrait m'expliquer comment on résout ce QCM s'il vous plaît ?

Je sais pas si je manque de logique ou quoi mais en regardant la correction, j'ai plus l'impression que c'est du "bidouillage" des données... je ne vois pas à quoi se réfèrent les formules utilisées... Quelqu'un pour m'aider ?

MerciiiiEnoncQCMpH.thumb.jpg.72fab8c8c024fbfe896f3485b4863388.jpg

Correction QCM pH.jpg

Posted

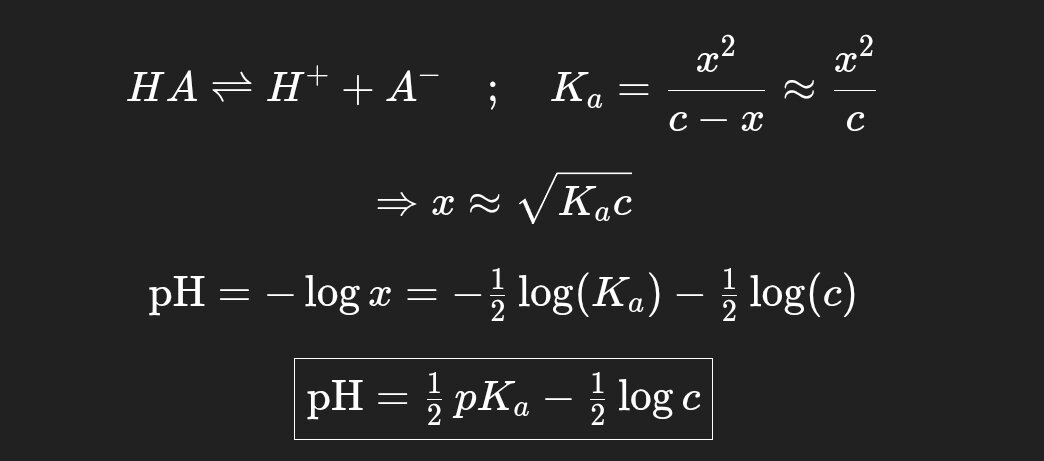
Salut, moi aussi je suis tombé sur ce QCM du démon. Mais ce que je trouve bizarre, c'est que les formules de la correction ne sont meme pas dans le cours (ni le diapo ni le TAT). Donc peut être que c'est un ancien QCM et pas représentatif ? Je sais pas, mais en tout cas, j'ai cherché la démonstration de : pH = 1/2pKa - 1/2log(c). Pour essayer de mieux comprendre mais ça reste flou : 

 

Screenshot_20251009_204451_Chrome.thumb.jpg.25120f9bc0c29b7aad549ed9a02b4a72.jpg

 

J'espère qu'un tuteur va nous éclairer, mais désolé de pas pouvoir t'aider plus.

  • Tuteur
  • Solution
Posted

Coucou!!
Alors déjà pour commencer tu peux directement calculer ta concentration initiale comme ça tu peux résoudre les items plus facilement si t’as besoin de calculer une autre concentration : 

n0 = C*V = 1,0*10^-3*0,5 =5,0*10^-4 mol


Item B :  (FAUX)

ici on considère le pH initial qu'avec la première dissociation H2A —> H+ + HA- pour un acide faible de concentration C

Formule : pH = ½ × (pKa - log(C))

→ pH = ½ × (1.81 - log(1.0 × 10⁻³))

→ pH = ½ × (1.81 + 3)

→ pH = ½ × 4.81 = 2.405 ≈ 2.41

 

Donc pH ≈ 2.41 (et non 3).

 

Item C : (FAUX)

On a calculé la qté initiale d’acide qui est de 0,5 mmol, si on ajoute 0,25 mmol d’OH⁻, on a ajouté la moitié de la quantité d’acide : c’est le demi-équivalence (on a consommé la moitié des H2A en formant HA-) 

Le premier point d’équivalence (formation du premier HA-) sera atteint quand  on aura ajouté 0,5 mmol de NaOH.

 

Item D : (FAUX)

Après la deuxième addition de 0,25 mmol on a 0,25+0,25= 0,5 mmol d oh- ajoutés : la première équivalence est atteinte tout H2A est converti en HA- (HSO3-), on a une espèce amphotère. 

Pour une espèce amphotère [HA-] le pH au premier point d’équivalence s’approxime par :

pH = ½ × (pKa₁ + pKa₂)

→ pH = ½ × (1.81 + 6.99)

→ pH = ½ × 8.80 = 4.40 

 

Item E : (VRAI)

on ajoute encore 0,5 mmol de OH- donc au total on est à 1 mmol. On arrive au deuxième point d’équivalence ou toute la matière initiale est convertie sous forme deprotonnée A2- (=SO23-)

il faut recalculer la concentration : 

[C’] = n0/V = 5*10^-4 /0,5 =0,001 = 1 * 10^-3 M

 

On utilise la formule : 

pH = 7 + ½ × (pKa₂ + log(C))

→ pH = 7 + ½ × (6.99 + log(1.0 × 10⁻³))

→ pH = 7 + ½ × (6.99 - 3)

→ pH = 7 + ½ × 3.99

→ pH = 7 + 1.995 = 8.995 ≈ 9.0

 

Voila j’espère t’avoir aidé ! 
Bon courage !!!!

Posted

Merci à vous deux, j'ai un peu mieux compris mais bon du coup j'espère que c'est un ancien QCM puisque la formule du pH d'une espèce amphotère on ne l'a pas apprise (et celle pour un diacide faible non plus, je ne comprends pas d'où sort le 1/2, je suppose que c'est parce que le diacide libère deux H+ mais... on l'a pas appris ???), à moins qu'on ne doive les déduire ???

 

  • Je ne comprends pas pourquoi dans la correction de l'item B on écrit que pKa2 > pKa1 + 2
  • Et dans l'item E on prend la valeur 7 au début de la formule, pourquoi ???

Merci pour vos réponses en tout cas, j'ai un peu mieux compris certaines choses !

  • Ancien Responsable Matière
Posted
Il y a 1 heure, L.ena a dit :

Merci à vous deux, j'ai un peu mieux compris mais bon du coup j'espère que c'est un ancien QCM puisque la formule du pH d'une espèce amphotère on ne l'a pas apprise (et celle pour un diacide faible non plus, je ne comprends pas d'où sort le 1/2, je suppose que c'est parce que le diacide libère deux H+ mais... on l'a pas appris ???), à moins qu'on ne doive les déduire ???

 

  • Je ne comprends pas pourquoi dans la correction de l'item B on écrit que pKa2 > pKa1 + 2
  • Et dans l'item E on prend la valeur 7 au début de la formule, pourquoi ???

Merci pour vos réponses en tout cas, j'ai un peu mieux compris certaines choses !

Hello ! Alors pour être honnête avec toi, les formules utilisées dans la correction ça fait au moins depuis l’an dernier (je sais pas comment c’était l’année d’avant) que la prof ne nous les montre absolument pas donc même moi je te dirai sûrement des bêtises en essayant d’expliquer. 

Les valeurs (dont le 7 pour lequel tu poses la question) découlent de formules que vous avez pas du tout à apprendre donc ne va pas t’embêter l’esprit avec ça ! Normalement vous tomberez jamais sur un qcm comme ça à l’exam.

Join the conversation

You can post now and register later. If you have an account, sign in now to post with your account.
Note: Your post will require moderator approval before it will be visible.

Guest
Reply to this topic...

×   Pasted as rich text.   Paste as plain text instead

  Only 75 emoji are allowed.

×   Your link has been automatically embedded.   Display as a link instead

×   Your previous content has been restored.   Clear editor

×   You cannot paste images directly. Upload or insert images from URL.

  • Recently Browsing   0 members

    • No registered users viewing this page.
×
×
  • Create New...
Radio