Skalbain Posted October 6, 2025 Posted October 6, 2025 Quel critere pr savoir si une molécule peut être utilisée afin de bloquer la réplication ? Quote
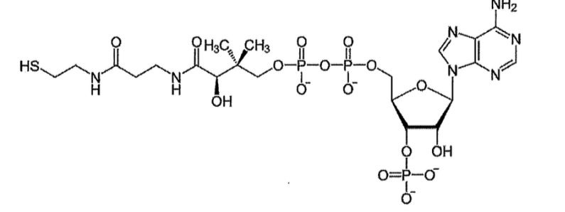
Tuteur emma-tie Posted October 7, 2025 Tuteur Posted October 7, 2025 Saluuut ! Je dirai que cette molécule bloquerait la réplication car on n'a plus un -OH en 3' sur son pentose, mais un phosphate à la place, ce qui empêcherait un autre acide nucléique de s'insérer par la suite => réplication bloquée. Pour rappel, pour former la liaison phosphodiester entre 2 acides nucléiques, il faut un OH en 3' (sur celui déjà inséré) et un phosphate en 5' (sur celui qui va se rajouter à la chaîne en croissance). De plus, ici ce n'est pas un désoxyribonucléique car il y a un -OH en 2' (ARN). Après, je ne sais pas si le fait qu'il n'ait pas 3 phosphates mais biphosphate (2P + un chaîne carbonée) gène pour son insertion => à voir avec un autre tuteur/RM génome. jujéjunum and Loïstamine 2 Quote
Responsable Matière Solution Lénadénine Posted October 7, 2025 Responsable Matière Solution Posted October 7, 2025 Coucou! @emma-tie a tout bien expliqué ! Effectivement il n’y a pas de OH en 3’, ce qui empêche donc la liaison phosphodiester et donc il y a blocage de la réplication. La présence du OH en 2’ signifie donc que le sucre est un ribose, on a donc affaire là à un ribonucléotide qui ne rentre pas dans la composition de l’ADN mais plutôt de l’ARN. Ensuite, lorsqu’un nucléotide s’insère dans une chaîne d’ADN ou d’ARN, la forme active utilisée par les polymérases est le triphosphate (NTP ou dNTP). En effet, lors de l’incorporation, 2 phosphates sont libérés et 1 phosphate reste pour former la liaison phosphodiester. Ici la molécule est diphosphate donc elle ne peut pas être utilisé directement comme substrat par la polymérase. Mais ici le blocage principal est est le fait qu’il y a l’absence de OH en 3’ qui est indispensable à la formation de la liaison phosphodiester. N’hésites pas si tu as d’autres questions ! jujéjunum, Loïstamine and emma-tie 2 1 Quote
Ancien Responsable Matière jujéjunum Posted October 7, 2025 Ancien Responsable Matière Posted October 7, 2025 Coucou, je viens confirmer les réponses que tu as eues : @lenadénine et @emma-tie t'ont tout super bien expliqué ! N'hésites pas si c'est toujours pas clair pour toi ! Lénadénine, Paulimère, Loïstamine and 1 other 1 3 Quote
Recommended Posts
Join the conversation
You can post now and register later. If you have an account, sign in now to post with your account.
Note: Your post will require moderator approval before it will be visible.