Jump to content

Représentation R ou S ?


Go to solution Solved by Cicatrix,

Recommended Posts

Posted

Bonjour, 

je n’arrive pas à trouver la configuration de cette molécule : 

 

https://ibb.co/239QsWfb 

 

D’après la correction elle est 2S,3S mais moi je trouve 2S,3R, je ne comprends pas comment trouver la configuration SS. 

 

Si quelqu’un pourrait m’aider merci :))

  • 2 weeks later...
  • Solution
Posted

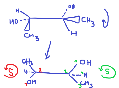
Salut @celinamide effectivement c'est un peu compliqué 

La meilleure méthode (mais c'est assez difficile si on n'a pas la vision dans l'espace) c'est d'essayer d'imaginer que le H est derrière, comme si on regardait la molécule sous un autre angle (avec le H le plus loin possible).

Et ici, pour le 2e carbone asymétrique, quand on regarde la molécule à l'opposé du H, on tourne dans le sens S.

 

 

Voici comment je tourne les éléments afin de voir les H en arrière sans changer l'ordre.

image.png.410de510b5c5a4b59e16a3377106fcc9.png

Posted

Ah oui je vois, est ce que tu me conseille de faire ça si j’arrive à bien le visualiser ? Par ce que j’ai toujours fait la technique de mettre l’ordre sans rien changer et juste si le H est devant quand c’est configuration R changer la configuration en S mais là je ne comprends pas pourquoi elle ne marche pas dans ce cas.

Posted

Oui je te conseille de plutôt faire cette méthode quand le H est dans le plan.

Quand le H est vraiment devant, avec une liaison épaissie sur le schéma, tu peux faire la méthode que tu utilisais de base.

Posted

D’accord merci beaucoup ça me sauve !! 

J’ai juste une dernière question (désolé) mais dans ton schéma tu as mis les deux molécules (OH et CH3) dans le plan et tu n’as pas fais de distinction entre celle qui était devant le plan et l’autre dans le plan (j’espère que c’est clair).

On est d’accord que ça ne change rien temps qu’on à tourné pour que le H soit derrière le plan ? 

  • Responsable Matière
Posted
On 5/17/2025 at 3:09 PM, celinamide said:

D’accord merci beaucoup ça me sauve !! 

J’ai juste une dernière question (désolé) mais dans ton schéma tu as mis les deux molécules (OH et CH3) dans le plan et tu n’as pas fais de distinction entre celle qui était devant le plan et l’autre dans le plan (j’espère que c’est clair).

On est d’accord que ça ne change rien temps qu’on à tourné pour que le H soit derrière le plan ? 

Salut,

effectivement il n'a pas represente qui est dans le plan et qui est en avant du plan mais ca ne change rien a partir du moment ou H est en arriere du plan. Si ca te frustre quand meme, sur le carbone de gauche OH est devant le plan (CH3 dans le plan) et sur le carbone de droite c'est pareil.

Join the conversation

You can post now and register later. If you have an account, sign in now to post with your account.
Note: Your post will require moderator approval before it will be visible.

Guest
Reply to this topic...

×   Pasted as rich text.   Paste as plain text instead

  Only 75 emoji are allowed.

×   Your link has been automatically embedded.   Display as a link instead

×   Your previous content has been restored.   Clear editor

×   You cannot paste images directly. Upload or insert images from URL.

  • Recently Browsing   0 members

    • No registered users viewing this page.
×
×
  • Create New...
Radio