Jump to content

Qcm 4 Concours 2022 -Seesion 2


Go to solution Solved by Batman_sans_Robin,

Recommended Posts

Posted

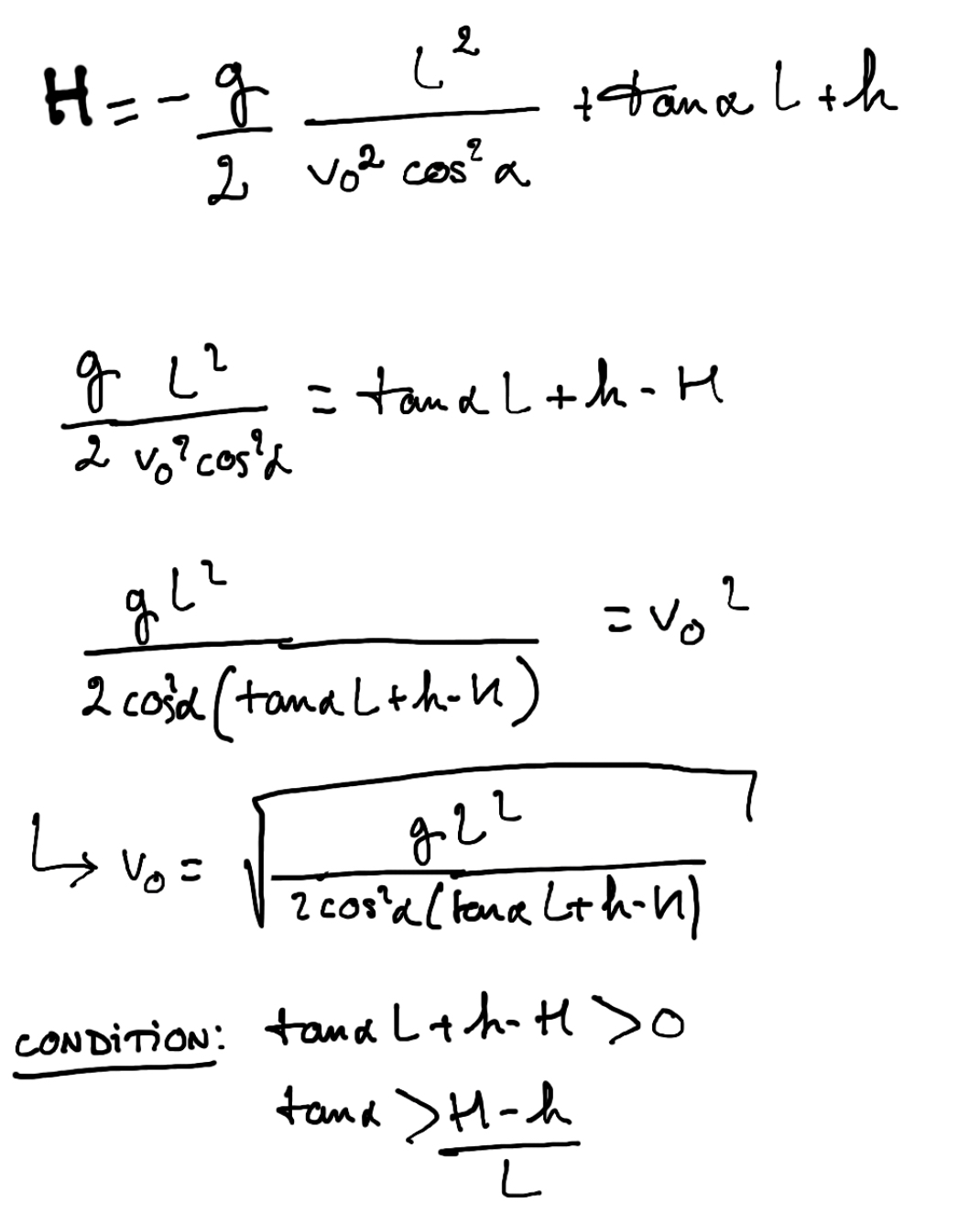
Salut, dans ce qcm je suis bloquer a cette étape:

H=-g/2*(L^2/vo^2*cos^2 alpha) +tan alpha*L+h 

Est ce que sa serait possible d’avoir les détaille du calcule pour arriver au résultat 

Merci d’avance !

Join the conversation

You can post now and register later. If you have an account, sign in now to post with your account.
Note: Your post will require moderator approval before it will be visible.

Guest
Reply to this topic...

×   Pasted as rich text.   Paste as plain text instead

  Only 75 emoji are allowed.

×   Your link has been automatically embedded.   Display as a link instead

×   Your previous content has been restored.   Clear editor

×   You cannot paste images directly. Upload or insert images from URL.

  • Recently Browsing   0 members

    • No registered users viewing this page.
×
×
  • Create New...
Radio