Jump to content

QCM 6, 7 et 8 2023 Session 1 (Equa diff...)


Go to solution Solved by POMME,

Recommended Posts

Posted

Bonjouuuuuuuuuuuur !

Alors les équa diff en méca c'est pas le kiff donc j'aurais espéré avoir quelques éclaircissement sur ces qcm, sur comment on s'y prend pour les résoudre

J'espère que vous trouverez le temps d'aider la personne en détresse que je suis, et si c'est le cas, un grand mercii !!!

Bonne journée et bon courage 🫶

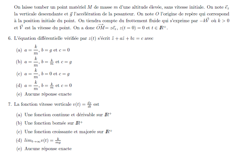
no comprendo 1.png

no comprendo 2.png

  • Ancien Responsable Matière
  • Solution
Posted

Coucou, voici ma résolution détaillé de ces 3 exercices en espérant que ça pourra t’aider : 

 

jj3yfn.jpg

ivgafg.jpg

  • Ancien Responsable Matière
Posted
Il y a 4 heures, somniaphere a dit :

MERCI BEAUCOUP !!!!!! 🙏

Avec plaisir tkt 

Join the conversation

You can post now and register later. If you have an account, sign in now to post with your account.
Note: Your post will require moderator approval before it will be visible.

Guest
Reply to this topic...

×   Pasted as rich text.   Paste as plain text instead

  Only 75 emoji are allowed.

×   Your link has been automatically embedded.   Display as a link instead

×   Your previous content has been restored.   Clear editor

×   You cannot paste images directly. Upload or insert images from URL.

  • Recently Browsing   0 members

    • No registered users viewing this page.
×
×
  • Create New...
Radio