Jump to content

annale 2022-2023 session 1


Go to solution Solved by shimy_z,

Recommended Posts

  • Solution
Posted

Salut, salut 🙃

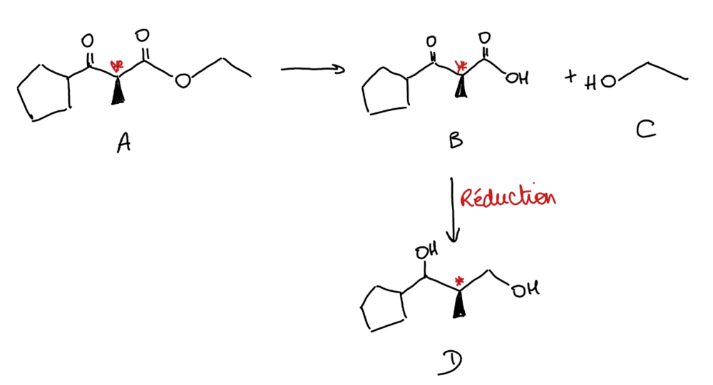
Voici les réactions (ci-dessous), la première réaction est une hydrolyse acide, donc on "coupe" au niveau de l'ester et on ajoute de H. La deuxième réaction, càd le passage de B à D, est une réduction, le LiAlH4 réduit l'acide carboxylique en alcool, et la fonction cétone en OH aussi. 

N'hésites pas si tu as d'autres questions !!

Capture d'écran 2025-03-12 190809.png

Join the conversation

You can post now and register later. If you have an account, sign in now to post with your account.
Note: Your post will require moderator approval before it will be visible.

Guest
Reply to this topic...

×   Pasted as rich text.   Paste as plain text instead

  Only 75 emoji are allowed.

×   Your link has been automatically embedded.   Display as a link instead

×   Your previous content has been restored.   Clear editor

×   You cannot paste images directly. Upload or insert images from URL.

  • Recently Browsing   0 members

    • No registered users viewing this page.
×
×
  • Create New...