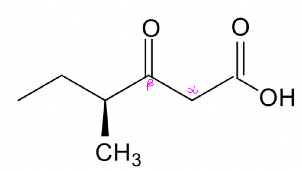
Pkahhhh Posted March 12, 2025 Posted March 12, 2025 Coucou J'ai du mal à me représenter alpha et bêta sur cette molécule je veux donc bien votre aide svp https://ibb.co/60Rdk1wW Merci d'avance Quote
umbrella Posted March 12, 2025 Posted March 12, 2025 coucou, si je ne me trompe pas, le carbone en alpha est celui juste après le C qui porte la fonction et le beta est après le alpha en espérant avoir pu t'aider !! Shoufre and Bastitine 1 1 Quote
Pkahhhh Posted March 12, 2025 Author Posted March 12, 2025 Merci, mais la fonction comment on peut déterminer que c'est plutôt l'acide carboxylique par rapport à la cétone ? C'est parce qu'il est + puissant ? Quote
Solution umbrella Posted March 12, 2025 Solution Posted March 12, 2025 oui c'est parce que la fonction acide carboxylique est prioritaire sur la fonction cétone ;) Shoufre, Bastitine, Nentiqu and 1 other 2 1 1 Quote
Ancien Responsable Matière Shoufre Posted March 12, 2025 Ancien Responsable Matière Posted March 12, 2025 il y a 55 minutes, Pkahhhh a dit : Coucou J'ai du mal à me représenter alpha et bêta sur cette molécule je veux donc bien votre aide svp https://ibb.co/60Rdk1wW Merci d'avance Coucou Rien à ajouter à ce qu'a dit @umbrella en effet il faut repérer ta fonction principale puis compter à partir de celle-ci en nomenclature grecque !! N'hésite pas si besoin Bon courage 🩷 Jodiploïde, lysopaïne, DJOLIPRANE and 3 others 3 2 1 Quote
Recommended Posts
Join the conversation
You can post now and register later. If you have an account, sign in now to post with your account.
Note: Your post will require moderator approval before it will be visible.