Jump to content

primitive


Go to solution Solved by ju.gulaire,

Recommended Posts

Posted

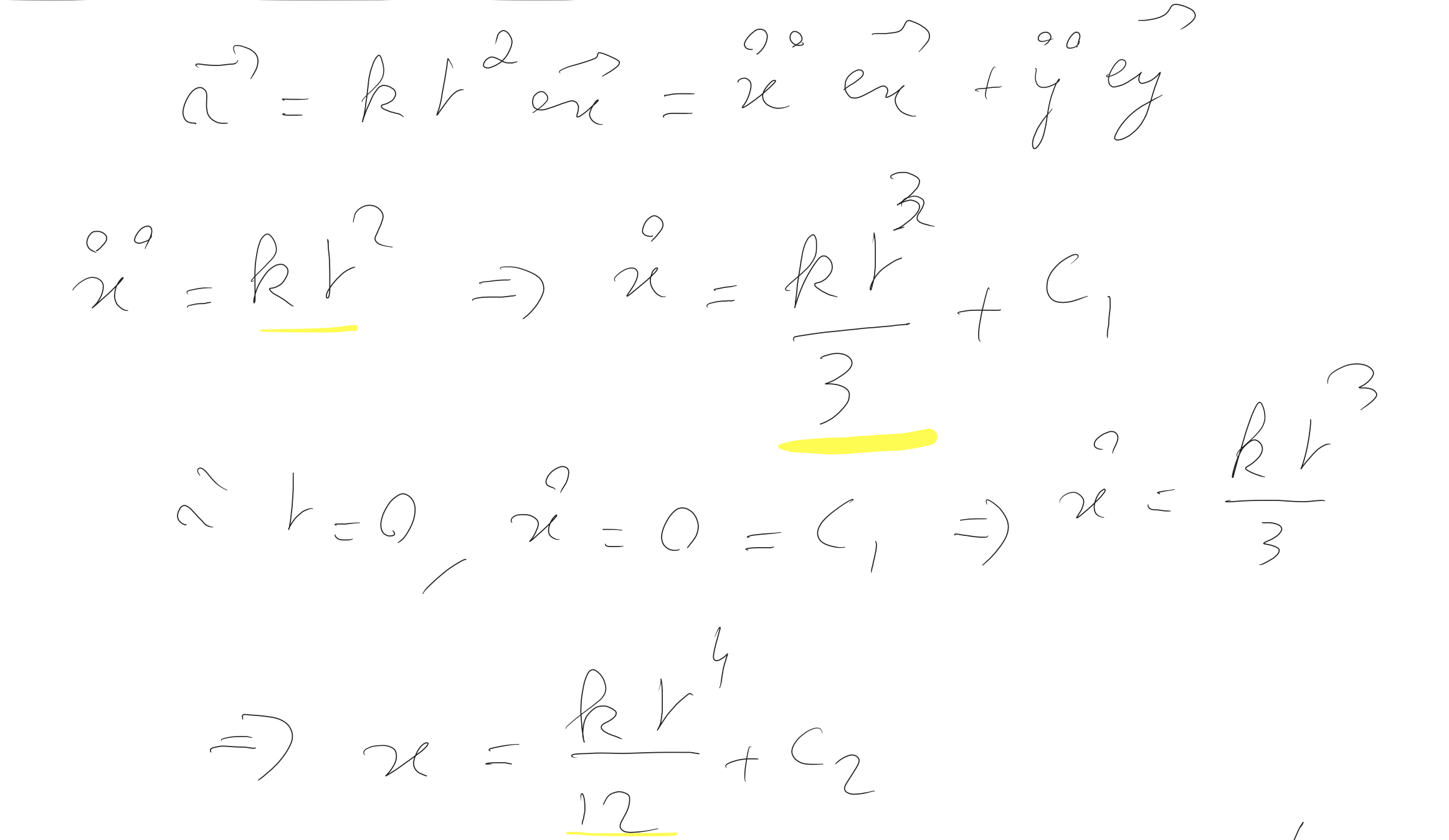
Bonjour, j'ai pas trop compris les maths derrière ça, fin j'ai compris qu'on faisait la primitive mais je pensais que la primitive de x^2 c'était x/2^2 🤨 merci de m'éclairer au sujet des primitives svp

fhdncd.png

 

  • Responsable Matière
  • Solution
Posted

Coucouuuuu la primitive de x^n = 1/n+1 * x^n+1 !

Donc ici primitive de x² = 1/3 x^3 !

Posted (edited)

@ju.gulairetoujours à l'affût, j'en profite pour poser une question sur les dérivées d'une exponentielle: j'ai V0e^(-a/m)*t, la dérivée c'est (-mV0/a)*e^(-a/m)*t

du coup on peut dire que si le facteur devant t est un quotient, qd on le dérive il s'inverse devant l'exponentielle?? 

c pas très claire désolée 

Edited by ichigo
Posted

eh je reviens vite c moi qui suis désolée

4k734e.jpg

quand on dérive alpha/m ça devient m/alpha est ce que c normal? et c applicable pour chq dérivée d'exponentielle comportant une fraction dans son exposant ???

  • Responsable Matière
Posted (edited)

eeeeee je l'aurais pas dérivée comme ça perso → tu as exp (u(t)) donc la dérivée c'est u'(t) * exp (u(t))

u(t) = - alpha/m * t   donc u'(t) = - alpha/m         → la dérivée de ta fonction c'est donc   - V0 alpha/m * exp (-alpha/m *t)

okkk att j'ai vu tu t'as marqué "en dérivant" mais ici c'est une primitive/intégralle

Rappel : la position x est la primitive de la vitesse donc ici on primitive et la formule de ta primitive dans le cas    f(t)=exp(u(t))  c'est F(t) = 1/u' * exp (u(t))    donc

1/(alpha/m) = m/alpha

Edited by ju.gulaire
Posted

okkk, gros gros bisous t'es la bosse🌞

j'ai tjrs eu le pb de dérivé/ intégrale depuis la terminale merci de me l'avoir fait remarquer!!

Join the conversation

You can post now and register later. If you have an account, sign in now to post with your account.
Note: Your post will require moderator approval before it will be visible.

Guest
Reply to this topic...

×   Pasted as rich text.   Paste as plain text instead

  Only 75 emoji are allowed.

×   Your link has been automatically embedded.   Display as a link instead

×   Your previous content has been restored.   Clear editor

×   You cannot paste images directly. Upload or insert images from URL.

  • Recently Browsing   0 members

    • No registered users viewing this page.
×
×
  • Create New...
Radio