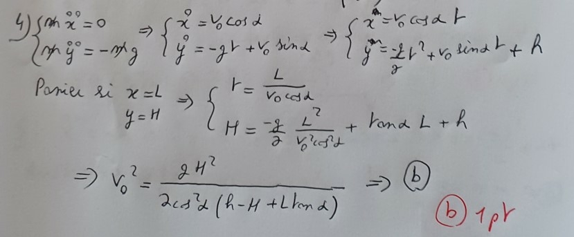
Julien14 Posted March 11, 2025 Posted March 11, 2025 http://www.image-heberg.fr/files/17416791313222319371.jpg Bonjour je ne comprends pas comment le prof trouve g*H au carré au numérateur car moi je trouve g*L au carré J'arrive bien comme lui a H= etc mais après j'ai pas H au carré au numérateur Si quelqu'un peut m'éclairer Quote
Responsable Matière Batman_sans_Robin Posted March 11, 2025 Responsable Matière Posted March 11, 2025 il y a 15 minutes, Julien14 a dit : http://www.image-heberg.fr/files/17416791313222319371.jpg Bonjour je ne comprends pas comment le prof trouve g*H au carré au numérateur car moi je trouve g*L au carré J'arrive bien comme lui a H= etc mais après j'ai pas H au carré au numérateur Si quelqu'un peut m'éclairer Salut ! Je suis d'accord. En plus quand on l'a corrigé en TD il a trouve gL2 sûrement une erreur ? Julien14 1 Quote
Julien14 Posted March 11, 2025 Author Posted March 11, 2025 il y a 1 minute, Batman_sans_Robin a dit : Je suis d'accord. En plus quand on l'a corrigé en TD il a trouve gL2 sûrement une erreur ? Oui c'est fort probable, je pense que le TD est maître donc ça doit être une erreur de sa part dans cette correction Merci ! Batman_sans_Robin 1 Quote
Recommended Posts
Join the conversation
You can post now and register later. If you have an account, sign in now to post with your account.
Note: Your post will require moderator approval before it will be visible.