Responsable Matière PauliNébuline Posted March 8, 2025 Responsable Matière Posted March 8, 2025 Salut! Ces deux items B sont vrais mais je ne trouve pas la même chose, est-ce que qq'un arriverait à me dire où je me suis trompée?  1er item B :  2e item B : Sans prendre en compte les conditions initiales Avec les conditions initiales  Merci beaucoup! Quote
Rhomolium Posted March 8, 2025 Posted March 8, 2025 Coucou @PauliNébuline, pour la première question l’erreur vient sûrement du 4-8=-2 car 4-8=-4 PauliNébuline 1 Quote
Responsable Matière PauliNébuline Posted March 8, 2025 Author Responsable Matière Posted March 8, 2025 il y a 1 minute, Rhomolium a dit : Coucou @PauliNébuline, pour la première question l’erreur vient sûrement du 4-8=-2 car 4-8=-4 En effet. J'ai honte haha Merci! Méphysiophélès 1 Quote
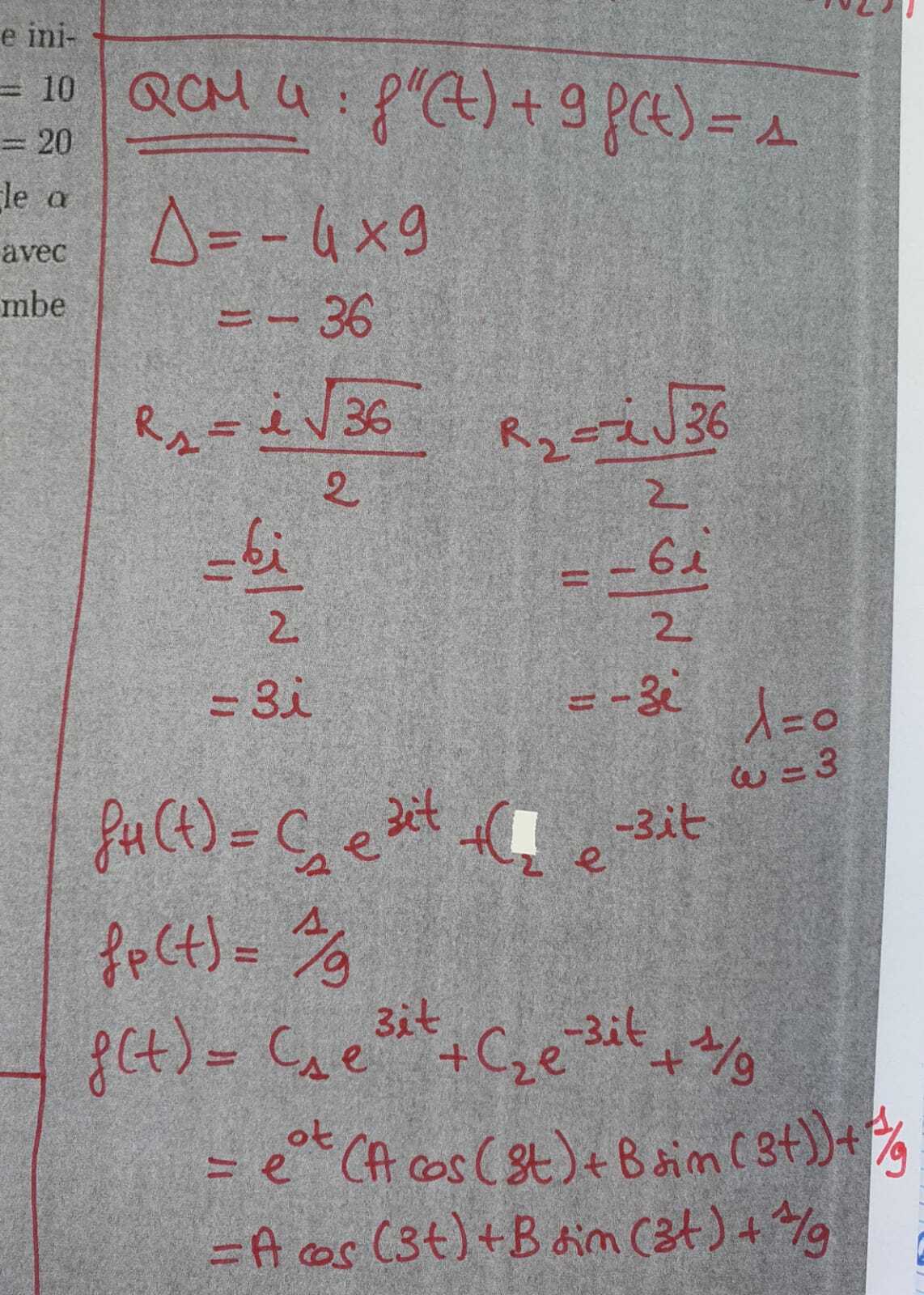
Responsable Matière ju.gulaire Posted March 8, 2025 Responsable Matière Posted March 8, 2025 (edited) Pour le QCM 4 ça va être galère à expliquer donc je t'envoie ce que j'ai fait (en espérant que t'arrives à le lire) Edited March 8, 2025 by ju.gulaire PauliNébuline 1 Quote
Solution Rhomolium Posted March 8, 2025 Solution Posted March 8, 2025 (edited) il y a 17 minutes, Rhomolium a dit : Coucou @PauliNébuline, pour la première question l’erreur vient sûrement du 4-8=-2 car 4-8=-4 Et pour la deuxième question, personnellement j’étais directement fait la dérivée de f(t) pour voir si je trouvais ce qui était dans l’énoncé. la dérivée de 1/9 -> 0 et celle de sin(3t) -> 3cos(3t) d’où la dérivée de f = 3cos(3t) À t=0, tu as 3cos(3x0)=3 x1 =3 (information de l’énoncé retrouvé !) et après tu fais la dérivée seconde  et tu obtiens -9sin(3t) et après tu ajoutes la dérivée seconde et 9f(t) (à t=0): -9sin(0x3) + 9 x f(0) = 0 + 9 x 1/9 =1  J’espère que c’est plus clair, passe une bonne journée @PauliNébuline  Edited March 8, 2025 by Rhomolium PauliNébuline 1 Quote
Responsable Matière PauliNébuline Posted March 8, 2025 Author Responsable Matière Posted March 8, 2025 Merci beaucoup à vous tous! ju.gulaire 1 Quote
Rhomolium Posted March 8, 2025 Posted March 8, 2025 à l’instant, PauliNébuline a dit : Merci beaucoup à vous tous! Avec plaisir ! J’ai vu que tu avais posé une question pour être plus efficace en qcm. Par exemple pour ce genre de qcm partir de ce qu’on te donne pour retrouver les données de l’énoncé ça te fais gagner du temps. D’ailleurs, il me semble que c’est ce que le prof a fait dans sa correction. PauliNébuline 1 Quote
Responsable Matière PauliNébuline Posted March 8, 2025 Author Responsable Matière Posted March 8, 2025 il y a 4 minutes, Rhomolium a dit : Avec plaisir ! J’ai vu que tu avais posé une question pour être plus efficace en qcm. Par exemple pour ce genre de qcm partir de ce qu’on te donne pour retrouver les données de l’énoncé ça te fais gagner du temps. D’ailleurs, il me semble que c’est ce que le prof a fait dans sa correction. Merci! Il y a les corrections des QCM moodle?!?! Quote
Rhomolium Posted March 8, 2025 Posted March 8, 2025 à l’instant, PauliNébuline a dit : Il y a les corrections des QCM moodle?!?! Oui, après c’est juste les annotations Quote
Recommended Posts
Join the conversation
You can post now and register later. If you have an account, sign in now to post with your account.
Note: Your post will require moderator approval before it will be visible.