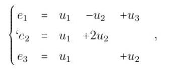
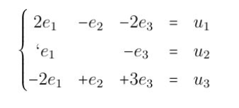
doramétric Posted March 7, 2025 Posted March 7, 2025 bonjour excusez moi ,je résouds ce système mais je n'arrive pas a obtenir la réponse Quote
LeDragondinDissident Posted March 14, 2025 Posted March 14, 2025 Coucou, déjà il y a une erreur sur la solution à la ligne de e3. C'est e3 = u1 + u3 Je pense que c'est là ton soucis ^^ Quote
Recommended Posts
Join the conversation
You can post now and register later. If you have an account, sign in now to post with your account.
Note: Your post will require moderator approval before it will be visible.