Jump to content

QCM 8 TD


Go to solution Solved by Leelou,

Recommended Posts

  • Tuteur
Posted

Salut,

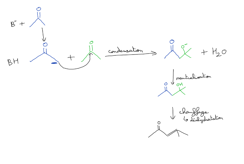
Je n'ai pas très bien compris le qcm 8 du td de chimie orga : il concerne l'action sous la soude du propanal qui est condensé à une autre molécule de propanal. L'énoncé parle aussi de neutralisation et de chauffage. 

- Je ne comprends pas bien les termes de condensation, neutralisation et de chauffage, c'est quoi les mécanismes ? 

- l'item A dit qu'on obtient un aldol, sauf que c'est faux on obtient un beta-aldol. Je ne vois pas comment on est arrivé à cette molécule et est ce que c'est tjrs valable ? 

 

Merci à vous

  • Solution
Posted (edited)

Salut,

Désolée pour la réponse longue.

Je te mets un schéma pour comprendre le mécanisme en pièce jointe. A la fin on obtient donc une cétone.

J'espère que c'est plus clair, n'hésites pas si tu as encore des doutes!

 

Capture d'écran 2025-02-28 173849.png

Edited by Leelou
Posted (edited)
Il y a 2 heures, An-Schwann a dit :

Salut, n’a tu pas oublié d’enlever le OH à la dernier molécule, avec le OH le carbone possède 5 liaison 🤔

En effet après la déshydratation, le OH forme un H2O avec l'hydrogène de l'autre carbone😅

Edited by Leelou

Join the conversation

You can post now and register later. If you have an account, sign in now to post with your account.
Note: Your post will require moderator approval before it will be visible.

Guest
Reply to this topic...

×   Pasted as rich text.   Paste as plain text instead

  Only 75 emoji are allowed.

×   Your link has been automatically embedded.   Display as a link instead

×   Your previous content has been restored.   Clear editor

×   You cannot paste images directly. Upload or insert images from URL.

  • Recently Browsing   0 members

    • No registered users viewing this page.
×
×
  • Create New...