Jump to content

Ex 2 TD2 cinématique


Go to solution Solved by lysopaïne,

Recommended Posts

Posted

Bonjour,

 

Je bloque sur cet exercice, surtout la question 5 car je n'arrive pas bien à manipuler les formules. La correction du prof ne m'aide pas beaucoup, pourrait-on me réexpliquer le processus pas-à-pas pour les trois graphiques afin de d'exprimer x(t) svp ? Je mets en pièces jointes l'exercice.

Merci !

Capture d'écran 2025-02-18 173325.png

Capture d'écran 2025-02-18 173401.png

Capture d'écran 2025-02-18 173430.png

  • Ancien Responsable Matière
  • Solution
Posted

salut @Med81

 

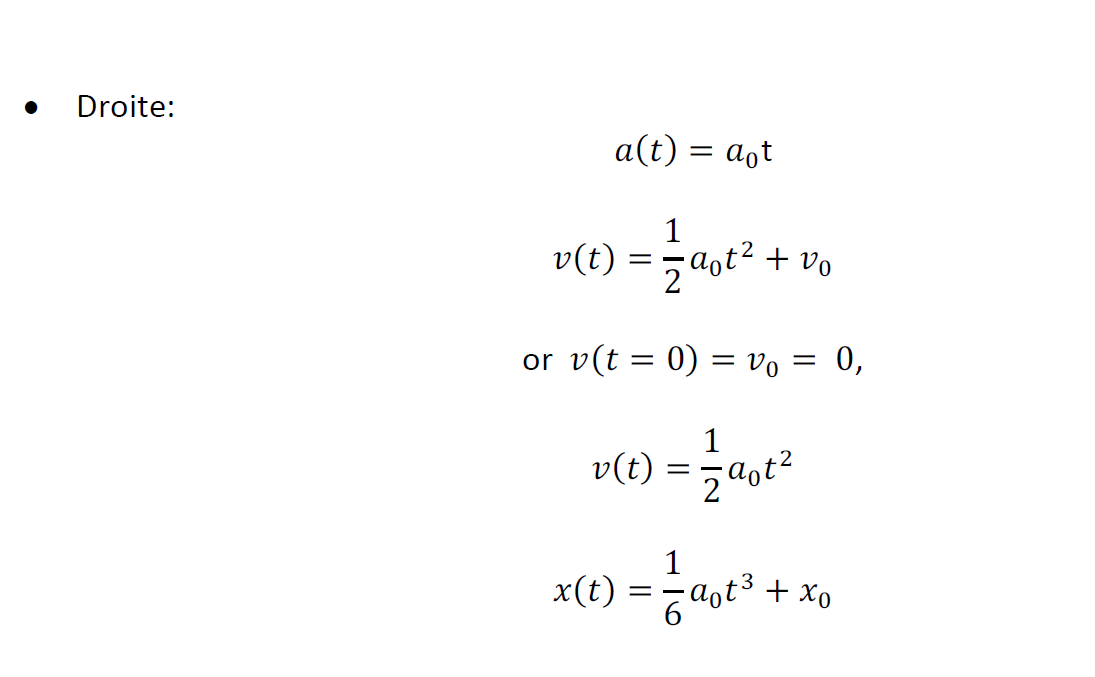
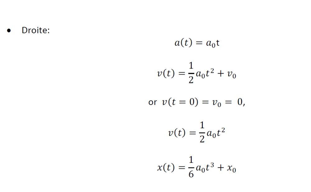
Pour la question 5 il faut retrouver l'expression de la position x(t) en fonction du temps à partir de l'expression de la vitesse. Comme la vitesse est la dérivée de la position, tu trouveras la position en intégrant (=trouvant la primitive) de la vitesse.

Je t'ai détaillé les étapes pour intégrer la vitesse.

https://zupimages.net/viewer.php?id=25/08/ernc.png

 

Peut-être que tu as eu du mal aussi à trouver l'expression de la vitesse en fonction des graphiques:

-pour le premier, v(t) est constant et non nulle au départ donc v(t) est la même que la vitesse initiale en tous point donc v(t)= v0

-pour celui du milieu, la courbe représentant l'évolution de la vitesse en fonction du temps est une droite. Le fonction est une fonction linéaire du type v(t) = at + b avec a et b des constantes. On d'aide des conditions initiales et on trouve a= a0 et b= v0.
-pour celui du dernier j'avoue c'est plus compliqué, je te laisse demander au prof

Posted
Le 21/02/2025 à 09:02, lysopaïne a dit :

salut @Med81

 

Pour la question 5 il faut retrouver l'expression de la position x(t) en fonction du temps à partir de l'expression de la vitesse. Comme la vitesse est la dérivée de la position, tu trouveras la position en intégrant (=trouvant la primitive) de la vitesse.

Je t'ai détaillé les étapes pour intégrer la vitesse.

https://zupimages.net/viewer.php?id=25/08/ernc.png

 

Peut-être que tu as eu du mal aussi à trouver l'expression de la vitesse en fonction des graphiques:

-pour le premier, v(t) est constant et non nulle au départ donc v(t) est la même que la vitesse initiale en tous point donc v(t)= v0

-pour celui du milieu, la courbe représentant l'évolution de la vitesse en fonction du temps est une droite. Le fonction est une fonction linéaire du type v(t) = at + b avec a et b des constantes. On d'aide des conditions initiales et on trouve a= a0 et b= v0.
-pour celui du dernier j'avoue c'est plus compliqué, je te laisse demander au prof

Merci beaucoup pour ton aide !!

Join the conversation

You can post now and register later. If you have an account, sign in now to post with your account.
Note: Your post will require moderator approval before it will be visible.

Guest
Reply to this topic...

×   Pasted as rich text.   Paste as plain text instead

  Only 75 emoji are allowed.

×   Your link has been automatically embedded.   Display as a link instead

×   Your previous content has been restored.   Clear editor

×   You cannot paste images directly. Upload or insert images from URL.

  • Recently Browsing   0 members

    • No registered users viewing this page.
×
×
  • Create New...
Radio