Jump to content

TD1 ex 5


Go to solution Solved by ju.gulaire,

Recommended Posts

Posted

Bonjour,

 

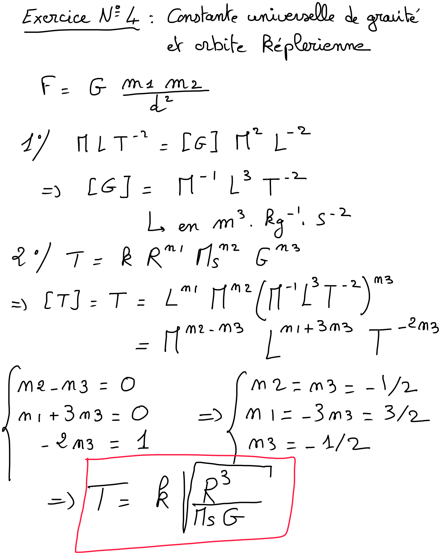
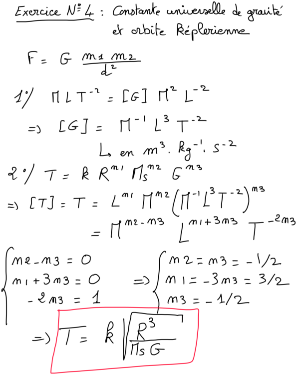
J'ai un problème de compréhension sur la question 2 du TD1 ex 5 (analyse dimensionnelle). Je n'arrive pas à comprendre comment l'on sait qu'il faut écrire R exposant 3 dans la formule finale. Je joints la correction du professeur, pourrait-on m'expliquer ?

 

Merci !

Exo5corrige_analyse_dimensionnelle.png

  • Responsable Matière
  • Solution
Posted

Coucouuuu, R est à l'exposant n1, or dans ton système n1=3/2 ou 3 * 1/2   →  on peut donc dire (R3)1/2 donc racine carrée de R3 pour que les exposants se multiplient et qu'on ait bien 1/2 * 3 = 3/2 ! 

J'espère que ça t'aidera !

Posted
il y a 45 minutes, ju.gulaire a dit :

Coucouuuu, R est à l'exposant n1, or dans ton système n1=3/2 ou 3 * 1/2   →  on peut donc dire (R3)1/2 donc racine carrée de R3 pour que les exposants se multiplient et qu'on ait bien 1/2 * 3 = 3/2 ! 

J'espère que ça t'aidera !

Merci, c'est mieux avec ton explication !

J'en profite pour poser une deuxième question (ex 7 TD1 question 1) :

 

je ne comprends pas bien le raisonnement pour trouver alpha ( le passage de 1/2 mv2 à mgh )

Capture d'écran 2025-02-15 174137.png

  • Responsable Matière
Posted

Ici il te faut remplacer h par l'expression donnée, tu as donc du côté gauche de ton équation m*g*v0²*alpha/g → par simplification les g s'en vont

tu as ainsi 0.5*m*V0² = m*V0²*alpha    → pareil tu simplifie en divisant à droite et à gauche par m*V0² et il te reste 0.5=alpha → soit alpha = 1/2 !

Posted
il y a 18 minutes, ju.gulaire a dit :

Ici il te faut remplacer h par l'expression donnée, tu as donc du côté gauche de ton équation m*g*v0²*alpha/g → par simplification les g s'en vont

tu as ainsi 0.5*m*V0² = m*V0²*alpha    → pareil tu simplifie en divisant à droite et à gauche par m*V0² et il te reste 0.5=alpha → soit alpha = 1/2 !

Merci beaucoup !

Posted

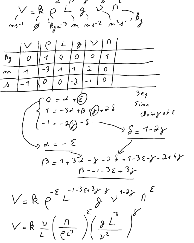
Rebonjour !

 

Toujours sur l'analyse dimensionnelle, je bloque sur la construction de la formule de V dans le mini concours blanc, je n'arrive pas à voir comment agencer la formule une fois que l'on a les inconnues ...

 

Capture d'écran 2025-02-16 064530.png

Join the conversation

You can post now and register later. If you have an account, sign in now to post with your account.
Note: Your post will require moderator approval before it will be visible.

Guest
Reply to this topic...

×   Pasted as rich text.   Paste as plain text instead

  Only 75 emoji are allowed.

×   Your link has been automatically embedded.   Display as a link instead

×   Your previous content has been restored.   Clear editor

×   You cannot paste images directly. Upload or insert images from URL.

  • Recently Browsing   0 members

    • No registered users viewing this page.
×
×
  • Create New...
Radio