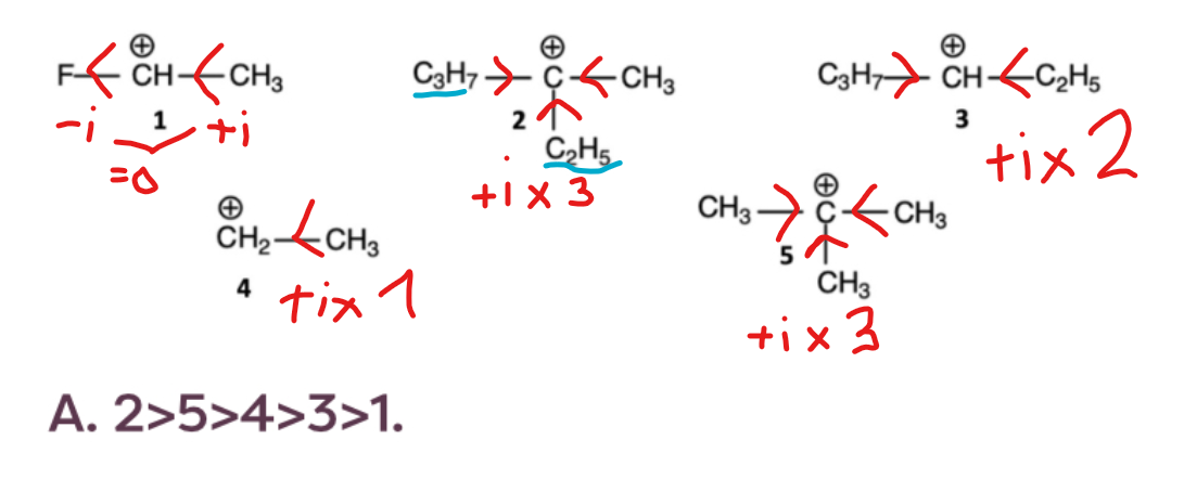
juliprofène Posted January 24, 2025 Posted January 24, 2025 Coucouu, j’ai une petite question, j’arrive pas à déterminer l’ordre de stabilité des molécules, ici c’est avec les carbocations mais est-ce que ce serait possible de me donner une méthode générale parce que je suis un peu perdue mercii beaucoup pour l’aide !! https://ibb.co/dBP5MhZ Quote
Ancien Responsable Matière thomASTROCYTE Posted January 24, 2025 Ancien Responsable Matière Posted January 24, 2025 (edited) Salut, alors jsp si ma méthode est très réglo, mais en gros plus un carbocation est entouré par des atomes donneurs d'électrons (effet +i) plus il sera stable : dans le cas du 2 et du 5 qui sont tous les deux +i x 3, le 5 est entouré par des groupes à plus grand nombre de carbone donc avec effet inductif +i plus puissant que dans le 5 donc c'est la réponse 1>2>5>3>4 En espérant t'avoir aidé Edited January 25, 2025 by thomASTROCYTE Quote
Ancien Responsable Matière Solution Bastitine Posted January 25, 2025 Ancien Responsable Matière Solution Posted January 25, 2025 Salut ! Le premier truc à regarder est la présence d'une conjugaison entre ta charge + et un doublet non liant ou une liaison double, ce qui permet par effet mésomère de stabiliser la molécule au mieux. Ensuite on peut regarder les effets inductifs qui permettent EN GÉNÉRAL de classer la stabilité des C+ ou des C-. Par exemple un carbocation C+ est stabilisé par effet inductif donneur +I donc un C+ primaire est moins stable qu'un tertiaire car moins d'effets +I. L'inverse pour un carbanion. En terme de stabilité : méso >>> inductif et pour comparer la stabilité des composés stabilisés par mésomérie, on peut compter le nombre de délocalisations possible, plus il y en a, plus c'est stable (par exemple un carbocation attaché sur un phényl est plus stable que la molécule 1 car plus de délocalisation possible : seulement une pour la molécule 1 avec l'effet +M du F, on dit qu'il y a 7 déloc possibles dans le cycle benzène du phényl). Ici : la 1 est la plus stable car la seule stabilisée par +M, puis les 2 tertiaires (2 et 5) avec d'abord 2 car chaines carbonées plus longues donc effets +I plus importants puis le 3, secondaire, et le 4, primaire. Il est important de comprendre que l'effet prépondérant du fluor dans la molécule 1 n'est pas -I mais +M qui prend le dessus. J'espère que c'est plus clair pour toi, sinon n'hésite pas lysopaïne, Pipas and HectoPascal 2 1 Quote
juliprofène Posted January 25, 2025 Author Posted January 25, 2025 Il y a 18 heures, thomASTROCYTE a dit : Salut, alors jsp si ma méthode est très réglo, mais en gros plus un carbocation est entouré par des atomes donneurs d'électrons (effet +i) plus il sera stable : dans le cas du 2 et du 5 qui sont tous les deux +i x 3, le 5 est entouré par des groupes à plus grand nombre de carbone donc avec effet inductif +i plus puissant que dans le 5 donc c'est bien la réponse A En espérant t'avoir aidé Merci bcp pour ta réponse mais en fait aucune réponse est juste… l’ordre c’est 2>5>3>1>4 Il y a 15 heures, Bastitine a dit : Salut ! Le premier truc à regarder est la présence d'une conjugaison entre ta charge + et un doublet non liant ou une liaison double, ce qui permet par effet mésomère de stabiliser la molécule au mieux. Ensuite on peut regarder les effets inductifs qui permettent EN GÉNÉRAL de classer la stabilité des C+ ou des C-. Par exemple un carbocation C+ est stabilisé par effet inductif donneur +I donc un C+ primaire est moins stable qu'un tertiaire car moins d'effets +I. L'inverse pour un carbanion. En terme de stabilité : méso >>> inductif et pour comparer la stabilité des composés stabilisés par mésomérie, on peut compter le nombre de délocalisations possible, plus il y en a, plus c'est stable (par exemple un carbocation attaché sur un phényl est plus stable que la molécule 1 car plus de délocalisation possible : seulement une pour la molécule 1 avec l'effet +M du F, on dit qu'il y a 7 déloc possibles dans le cycle benzène du phényl). Ici : la 1 est la plus stable car la seule stabilisée par +M, puis les 2 tertiaires (2 et 5) avec d'abord 2 car chaines carbonées plus longues donc effets +I plus importants puis le 3, secondaire, et le 4, primaire. Il est important de comprendre que l'effet prépondérant du fluor dans la molécule 1 n'est pas -I mais +M qui prend le dessus. J'espère que c'est plus clair pour toi, sinon n'hésite pas Merci bcp !! Mais en fait je crois que je n’es pas compris comment on compte le nombre de délocalisation possibles… et aussi comment on classe l’ordre de priorité des atomes ? ok lequel on regard en premier Quote
Tuteur kangourou Posted January 25, 2025 Tuteur Posted January 25, 2025 Salut !! Je viens de faire le mm qcm, et je l'ai signalé comme errata parce que la correction devrait mettre 1>2>5>3>4 du coup... (mais les réponses proposées restent fausses aucune n'est la bonne) juliprofène and Bastitine 2 Quote
juliprofène Posted January 25, 2025 Author Posted January 25, 2025 @kangourou ahhh d’accord mercii je comprend mieux la reponse de @Bastitine !! kangourou 1 Quote
Ancien Responsable Matière thomASTROCYTE Posted January 25, 2025 Ancien Responsable Matière Posted January 25, 2025 (edited) il y a une heure, juliprofène a dit : Merci bcp pour ta réponse mais en fait aucune réponse est juste… l’ordre c’est 2>5>3>1>4 Merci bcp !! Mais en fait je crois que je n’es pas compris comment on compte le nombre de délocalisation possibles… et aussi comment on classe l’ordre de priorité des atomes ? ok lequel on regard en premier oula je viens de relire mon message, je me suis complétement mélangé en effet ( il était tard, je l'ai corrigé ) par contre pourquoi l'atome de fluor est M+ il n'y a pas de doubles liaisons dans la molécule ??? Edited January 25, 2025 by thomASTROCYTE juliprofène 1 Quote
Tuteur AO234 Posted January 25, 2025 Tuteur Posted January 25, 2025 @thomASTROCYTE C'est de la forme "n-sigma-case vacante" donc le doublet non liant du Fluor il va vers le carbocation je crois. Parce qu'en vrai ça serait trop bizarre si le Fluor il vole un électron au Carbone alors qu'il est déjà déficitaire en électron Quote
Ancien Responsable Matière thomASTROCYTE Posted January 25, 2025 Ancien Responsable Matière Posted January 25, 2025 il y a 20 minutes, AO234 a dit : @thomASTROCYTE C'est de la forme "n-sigma-case vacante" donc le doublet non liant du Fluor il va vers le carbocation je crois. Parce qu'en vrai ça serait trop bizarre si le Fluor il vole un électron au Carbone alors qu'il est déjà déficitaire en électron il me semble que dans le cours, il y a uniquement : "case vacante-sigma-pi" ou "DDL-sigma-pi Quote
Ancien Responsable Matière thomASTROCYTE Posted January 25, 2025 Ancien Responsable Matière Posted January 25, 2025 il y a 26 minutes, AO234 a dit : @thomASTROCYTE diapo 18 bien vue !!! je comprends mieux maintenant, c'est dommage qu'il y est pas une diapo recap avec toutes les conditions on s'y perd à force .. Quote
Responsable Matière Aaronigashima Posted January 25, 2025 Responsable Matière Posted January 25, 2025 (edited) 3 hours ago, thomASTROCYTE said: bien vue !!! je comprends mieux maintenant, c'est dommage qu'il y est pas une diapo recap avec toutes les conditions on s'y perd à force .. Je te fais ca, je reviendrai modifier ce message dans une quinzaine de minutes a peu pres en te mettant le lien d'un schema que je realise https://fr.scribd.com/document/820136840/Chimie-orga-resume (Si t'as pas de compte scribd je te l'envoie comme ca en un peu moins bonne qualité mais c'est tout a fait lisible : https://ibb.co/qkydhz2 et https://ibb.co/LN5hSDd) D'ailleurs je l'ai pas ecrit en le prenant pour acquis mais dans la deuxieme diapo quand j'ai dit que la mesomerie permettait de stabiliser la base conjuguée, ca marche aussi pour les carbocations/carbanions, bcp de mesomerie dans une molecule permet de stabiliser aussi bien un C+ qu'un C- Edited January 25, 2025 by Aaronigashima thomASTROCYTE and juliprofène 1 1 Quote
Recommended Posts
Join the conversation
You can post now and register later. If you have an account, sign in now to post with your account.
Note: Your post will require moderator approval before it will be visible.