Jump to content

Recommended Posts

  • Responsable Matière
Posted

Bien le bonjour à tous,

 

Comme tout le monde, je galère sur la chimie orga 🫠

 

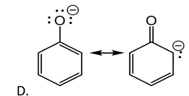
Pourquoi ici l'électron s'arrête sur le carbone et ne change pas tout le cycle ? :

rbnp.jpeg

 

Pareil pour ceux-là :

v0cl.jpeg

 

p9va.jpeg

 

d5cb.jpeg

 

 

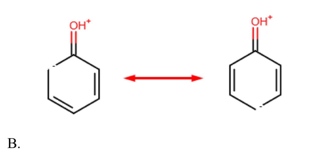
Pour celui-ci je ne comprends pas pourquoi le fluor est donneur et pas attracteur (l'item est compté faux). Les +M sont ceux avec les DNL mais dans le cours ont dit que + l'électronégativité augmente, + l'effet +M diminue. Ai-je ml compris ?

19so.jpeg

 

Désolé pour toutes ces questions et merci d'avance.

 

Bien à vous, Batman (:

  • Membre du Bureau
  • Solution
Posted (edited)
il y a 19 minutes, Batman_sans_Robin a dit :

 

Pourquoi ici l'électron s'arrête sur le carbone et ne change pas tout le cycle ?

Salut en fait il n'existe pas qu'une forme mésomère mais toutes ces formes existent, donc du moment que la délocalisation est logique même si on va pas jusqu'au bout et que la conformation est correcte c'est bon .

Attention pour le (2E) 1-bromo-3-méthylbut-2-ène. C'est bien complet car il faut des doubles liason conjuguées.

 

il y a 19 minutes, Batman_sans_Robin a dit :

 

Pour celui-ci je ne comprends pas pourquoi le fluor est donneur et pas attracteur (l'item est compté faux). Les +M sont ceux avec les DNL mais dans le cours ont dit que + l'électronégativité augmente, + l'effet +M diminue. Ai-je ml compris ?

Attention  l'electronégativité entraîne les effets inductifs et les délocalisations les effets mésomères. Il ne faut pas confondre. C'est pas dutout une règle générale mais pour retenir perso je partais du principe que les éléments reliés avec une seule liaison qui ont des doublés non liant ou qui ont un excès d'electrons sont donneurs (ex :R-OH, R-X, carbanion) et ceux qui sont reliés par des doubles ou triples liason, qui ont une liason dative ou qui on une lacune électronique sont attracteur.

Edited by Cerimay
Posted

Coucou, 

Le fluor il faut faire attention car comme le brome ou encore le chlore il est inductif attracteur mais il est mésomère donneur en fait l’effet M+ diminue bien avec l’ électronégativité mais il est quand même donneur c’est juste qu’il a un effet moins M+ que le Cl par exemple.

Join the conversation

You can post now and register later. If you have an account, sign in now to post with your account.
Note: Your post will require moderator approval before it will be visible.

Guest
Reply to this topic...

×   Pasted as rich text.   Paste as plain text instead

  Only 75 emoji are allowed.

×   Your link has been automatically embedded.   Display as a link instead

×   Your previous content has been restored.   Clear editor

×   You cannot paste images directly. Upload or insert images from URL.

  • Recently Browsing   0 members

    • No registered users viewing this page.
×
×
  • Create New...