Jump to content

QCM polys LAS Biophysique


Go to solution Solved by amelle,

Recommended Posts

Posted

 

Bonjour,

 

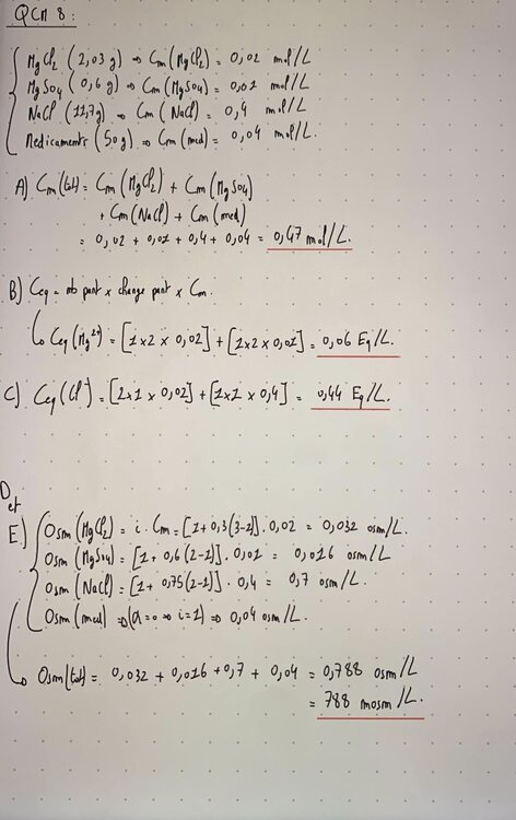
J'avais une question concernant les QCM du poly de biophysique LAS. Pour l'item C du QCM 8 il faut calculer Ceq de Cl- mon calcul est :  0,01/0,5 x 2 + 0,15/0,5 x 1 mais dans la correction la deuxième concentration doit être de 0,05 et je ne comprends pas cette valeur est-ce quelqu'un pourrait m'expliquer svp ?

 

 

QCM 8 - Soit une solution aqueuse de 0,5 L contenant 2,03 g de chlorure de magnésium MgCly, 0,6 g de

 

sulfate de magnésium MgSOn, 11,7 g de chlorure de sodium NaCl et 50g d'un médicament indissociable.

Indiquez si les propositions suivantes sont vraies ou fausses :

 

 

Données : M(MgCI,)-203g/mol, a=0,3 ; M(MgSO,)=120g/mol, a=0,6 ; M(NaCl)=58,5 g/mol, a=0,75 ;

M(medicament) = 2500 g/mol, a=0.

 

A. La molarité de cette solution est de 0,085 mol/L.

 

B. Dans cette solution on a 15 Eq/L de Mg2+

 

C. Dans cette solution on a 43,5 mEq/L de Cl.

 

D. Dans cette solution, on trouve 43,5 mmol d'ions Cl dissociés.

 

E. L'osmolarité de cette solution est de 131,5 mosm/L.

 

CORRECTION


 

QCM 8 - DE

 

 

A. C'est 0,17 mol/L. Grâce à la formule n=m/M, on calcule la quantité de matière de chaque produit, qu'on

 

additionne ensuite. Comme on a une solution de 0,5L, on aura deux fois plus de matière dans 1 L, donc on

multiplie le résultat par 2: 0,085 X 2.

 

 

B. Pour la concentration équivalente, on n'utilise pas le a. Ainsi on multiplie juste la molarité du composé

 

ionique par la nombre d'ion concerné dans le composé :

5 x 10-3

x 1 + 10-2 x 1 = 0,005 + 0,01 = 0, 015Eq/L = 15 mEq/L.

 

C. IDEM, donc 10-2 x 2 + 5 x 102 x 1 = 7 x 10-2 Eq/L.

 

 

Sachant que je ne sais pourquoi on ne prend pas en compte la charge de l'ion dans le calcul de Ceq = molarité x nb d'ions x charge de l'ion pour Mg2+ on note seulement : Ceq = Molarité x 1 

Aussi, pour le QCM 3, l'item C est juste mais en appliquant la formule je trouve 2mL et non 20mL normalement ?

 

QCM 3 - Dans un flacon de 100 mL on ajoute 5 g de NaCl. On obtient la solution A. Indiquez si les propositions suivantes sont vraies ou fausses :

À)L'expression pondérale Co est égale à 5 g/L.

B) L'expression pondérale C, est égale à 50 g/L.

C) On veut créer une solution B de volume 50 mL et de concentration 2 g/L. Pour cela il faut prélever 20 mL de solution A.

D)Il faut ajouter 1 L d'eau à la solution A pour que sa concentration soit de 2,5 g/L.

E)Dans la solution A, la molarité est très proche de la molalité.

 
CORRECTION 

 

 

QCM 3 - BCE

A. 5/0,1 = 50 g/L

C. (VRAI) 50 x 2 = 5 x V

→ V

←/=20ml

A

D. On divise la concentration par 2 donc il faut multiplier le volume par 2 donc ajouter 100 mL.

 

J'espère que mes questions étaient claires et merci d'avance de votre réponse !

  • Solution
Posted

Bonjour,

Pour l'item C du QCM8, ton calcul est juste, mais ta valeur n(NaCl) n'est pas correcte tu trouves 0,15 or quand on fait le calcul 11,7/58,5 on trouve 0,2. Ca n'explique toujours pas le résultat parce qu'il y a des erratas dans la correction, tu as raison la formule de Ceq est bien molarité x nb d'ions x charge de l'ion. Tu trouveras en pj la correction détaillée et corrigée.

Pour le QCM 3, je suis d'accord avec toi j'ai également trouvé 2 mL.

 

Bon courage!

 

IMG_9519.jpg

Join the conversation

You can post now and register later. If you have an account, sign in now to post with your account.
Note: Your post will require moderator approval before it will be visible.

Guest
Reply to this topic...

×   Pasted as rich text.   Paste as plain text instead

  Only 75 emoji are allowed.

×   Your link has been automatically embedded.   Display as a link instead

×   Your previous content has been restored.   Clear editor

×   You cannot paste images directly. Upload or insert images from URL.

  • Recently Browsing   0 members

    • No registered users viewing this page.
×
×
  • Create New...
Radio