Catalyse Posted December 10, 2024 Posted December 10, 2024 Coucouuu j'ai un petit problème avec cette molécule je n'arrive pas à numéroter correctement les carbones pour la nommer. Est ce que vous pouvez m'aider s'il vous plaît ? Merci d'avance ! Quote
Solution oxygen-dyspnoea Posted December 10, 2024 Solution Posted December 10, 2024 Salut, Selon moi on numérote comme ca, vu que c'est la chaîne carbonée la plus longue. Et sachant que l'alcool est le groupement prioritaire, donc on commence par le carbone le plus proche pour avoir le plus petit indice de numérotation possible. DJOLIPRANE, Catalyse and ilhamoxiciIline 3 Quote
Catalyse Posted December 10, 2024 Author Posted December 10, 2024 (edited) Ok merci et j'ai un autre problème dans ce genre de molécule je sais que l'atome d'oxygène est en premier mais j'hésite à chaque fois avec le CH20H du premier carbone et celui du carbone 3 parce qu''ils ont les mêmes groupements. Je ne sais pas comment faire du coup ... J'ai oublié de préciser je parle pour la numérotation des atomes qui entourent le carbone 2 Edited December 10, 2024 by Catalyse Quote
poly-ne Posted December 10, 2024 Posted December 10, 2024 Je confirme la réponse de @oxygen-dyspnoea ! Pour nommer ta molécule il faut : 1) trouver ta plus longue chaîne carbonée 2) donner le plus petit indice au groupement prioritaire 3) identifier les autres substituants (ici un cyclopentane et deux méthyles) 4) identifier les doubles liaisons (suffixe) il y a 2 minutes, Catalyse a dit : Ok merci et j'ai un autre problème dans ce genre de molécule je sais que l'atome d'oxygène est en premier mais j'hésite à chaque fois avec le CH20H du premier carbone et celui du carbone 3 parce qu''ils ont les mêmes groupements. Je ne sais pas comment faire du coup ... Ta molécule est symétrique ! tu peux la numéroter dans les deux sens, cela n'aura pas d'influence sur ta réponse. Bon courage !! ilhamoxiciIline, Catalyse and DJOLIPRANE 3 Quote
oxygen-dyspnoea Posted December 10, 2024 Posted December 10, 2024 (edited) 8 minutes ago, Catalyse said: Dans ce genre de molécule je sais que l'atome d'oxygène est en premier mais j'hésite à chaque fois avec le CH20H du premier carbone et celui du carbone 3 parce qu''ils ont les mêmes groupements. Je ne sais pas comment faire du coup ... Pour moi, le carbone 3 est prioritaire par rapport au carbone 1 : Le carbone 3 est lié à 1 OH, 1 C et 1 H alors que le carbone 1 est lié à 2 H et 1 OH. Il faut que tu regarde les groupements qui sont directement lié au carbone. Edited December 10, 2024 by oxygen-dyspnoea Catalyse and ilhamoxiciIline 2 Quote
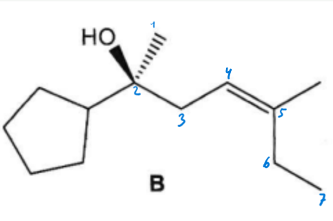
Kinase31 Posted December 10, 2024 Posted December 10, 2024 (edited) Salut, j'ai une question par rapport au C3 dans le post de @Catalyse sur sa configuration parce que il semble avoir deux fois le même constituant (C2 et C4), du coup j'arrive pas a savoir lequel des 2 est prioritaire merci d'avance pour vos réponses ! Edited December 10, 2024 by Kinase31 Catalyse 1 Quote
oxygen-dyspnoea Posted December 10, 2024 Posted December 10, 2024 2 minutes ago, Kinase31 said: Salut, j'ai une question par rapport au C3 dans le post de @Catalyse sur sa configuration parce que il semble avoir deux fois le même constituant (C2 et C4), du coup j'arrive pas a savoir lequel des 2 est prioritaire Salut @Kinase31, Le C3 n'est pas un carbone asymétrique. En effet, comme tu l'as bien dit, le C2 et C4 sont identiques. Donc C3 n'est pas un carbone asymétrique parce que la définition d'un carbone asymétrique c'est qu'il est entouré de 4 groupements différents. (。•̀ᴗ-)✧ Kinase31, DJOLIPRANE, ilhamoxiciIline and 1 other 4 Quote
Kinase31 Posted December 10, 2024 Posted December 10, 2024 ok merci beaucoup pour ta réponse @oxygen-dyspnoea ! oxygen-dyspnoea 1 Quote
Recommended Posts
Join the conversation
You can post now and register later. If you have an account, sign in now to post with your account.
Note: Your post will require moderator approval before it will be visible.